11.7.1 正心方圆连接管
图11-20所示为正心方圆连接管的立体图和计算原理图。

图11-20 正心方圆连接管
a)立体图 b)计算原理图
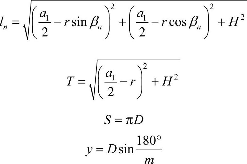
参照正心方圆连接管的折弯展开图11-21,其相关计算公式如下:

式中 ln——任一实长过渡线长(mm);
T——任一平面三角形高的实长(mm);
S——圆端展开长(mm);
y——圆端每等分弦长(mm);
a1——方端里皮长(mm);
r——圆端中心半径(mm);
βn——圆周各等分点与同一横向直径的夹角(°);
H——圆端中心点至方端里皮中心点间的垂直距离(mm);
D——圆端中径(mm);
m——圆周等分数。
正心方圆连接管的折弯展开图及1/4切断展开图,如图11-21、图11-22所示。

图11-21 正心方圆连接管的折弯展开图

图11-22 正心方圆连接管的1/4切断展开图