11.6.1  方矩锥管的计算基础

11.6.1 方矩锥管的计算基础

方矩锥管的计算格式有两种,第一种是折弯计算,第二种是切断计算。

折弯一般应按里皮计算,但还要视加工手段而定。如手工折弯,由于折不出设计的清角,成形后的尺度会偏小,此时应按板料折一个直角加一个0.4δ板厚的值;如压力机折弯,在强大的压力作用下成形后的尺度会正好。

切断连接有四种形式,为便于计算和同折弯计算互用,一律按里皮计算,无论采用哪种连接形式,都可在左右板上平行加出搭接量即可。

通常主视图按板厚作出,俯视图按里皮作出,以主视图为基准分出前后左右四板,前后板为里皮板,左右板为搭接板。

1.断面呈折线形的板料构件料计算

在实际工作中,经常遇到如图11-16所示的不需切断而只需折成接近清角的构件。习惯的下料基准为里皮,但手工成形后的尺寸总是小些,板越厚误差越大,在实践中总结出如下计算公式,包括折成直角和任意角。

978-7-111-48239-0-Chapter11-39.jpg

图11-16 断面呈折线形的板料构件

a)立体图 b)计算原理图

(1)折成直角图11-16b所示为计算原理图,其计算公式为

978-7-111-48239-0-Chapter11-40.jpg

式中 L——料长(mm);

l1l2——里皮长(mm);

δ——板厚(mm)。

表达式推导如下:由图11-16b可知,978-7-111-48239-0-Chapter11-41.jpg,对于折成接近清角、双直角件,一般按978-7-111-48239-0-Chapter11-42.jpgδ计算。设978-7-111-48239-0-Chapter11-43.jpg,即978-7-111-48239-0-Chapter11-44.jpg,查表11-7得x0=0.38,代入公式得978-7-111-48239-0-Chapter11-45.jpg,即按里皮计算折一个直角应加一个0.4δ

表11-7 中性层位置移动系数

978-7-111-48239-0-Chapter11-46.jpg

(2)折成任意角 折成任意角的计算公式为

978-7-111-48239-0-Chapter11-47.jpg

式中 L——料长(mm);

l1l2——里皮长(mm);

δ——板厚(mm);

α——板折角度(°)。

表达式推导如上,从略。

本公式适用于板料和型钢手工折成的一切折线形构件,如平板折成矩形框、多边形框、内外煨角、槽钢矩形框、方矩锥管、天圆地方的方端等。

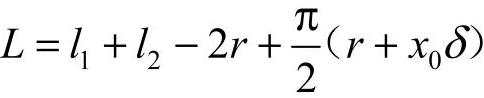
2.断面呈直曲线形的板料构件料计算

图11-17所示为978-7-111-48239-0-Chapter11-48.jpg时断面呈直曲线形的构件料计算方法,其优点是不

用查表,对于

978-7-111-48239-0-Chapter11-49.jpg的情形可按中径乘以π计算。

978-7-111-48239-0-Chapter11-50.jpg

图11-17 断面呈直曲线形的板料构件

a)立体图 b)展开图

断面呈直曲线形的板料构件料的计算公式为

978-7-111-48239-0-Chapter11-51.jpg

式中 L——料长(mm);

l1l2——里皮长(mm);

δ——板厚(mm);

α——板折角度(°);

r——内皮弯曲半径(mm)。

978-7-111-48239-0-Chapter11-52.jpg的来历:对于978-7-111-48239-0-Chapter11-53.jpg≤4时断面呈曲线的板料构件,其中性层总在中心径内侧,这是一条规律;但由于材质的不同、加工方法的不同,各国关于中性层位置的试验数据也不一致,为便于现场使用,大约在板厚的2/5处是合理的。