12.1.3  角度数值换算

12.1.3 角度数值换算

加工图样上经常会有角度的标注。对于角度数值,有不同角度制的表达方式,因此有时需要进行不同角度制数值的换算。

(1)弧度制角度值计算 在工程技术中,经常用弧度制表示一个角的大小。与半径等长的弧所对的圆心角称为1弧度的角。根据弧度的定义,角的弧度数等于它所对的弧长除以半径的商,即

978-7-111-48239-0-Chapter12-1.jpg

由于圆周的长等于2πR,半圆周的长等于πR,所以

360°=2π

用弧度表示角的大小时,习惯上把“弧度”两字省略,如978-7-111-48239-0-Chapter12-2.jpg

(2)不同角度制的角度值换算 图形标注尺寸中的角度数据有用弧度制表示的,也有用度分秒制(DMS)表示的,还有用十进制(DD)度表示的。而在数控系统编程指令中多用十进制(DD)角度方式。这样,针对不同表达方式的角度制数据,需要进行相互换算。

1)弧度值与角度值的换算。

978-7-111-48239-0-Chapter12-3.jpg

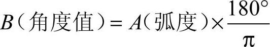
由此可得出弧度与角度的换算公式,将弧度制数值A换算成角度制数值B

978-7-111-48239-0-Chapter12-4.jpg

将角度制数值B换算成弧度制数值A

978-7-111-48239-0-Chapter12-5.jpg

2)度分秒制(DMS)角度值换算成十进制(DD)角度值。

在编写数控加工程序时需要将DMS方式表示的数据转化为DD方式的数据。

DMS转化为DD的步骤为:根据DMS的进制方式,保留整数位度数值不变,分别对分值除以60,对秒值除以3600,然后将处理结果值相加。计算公式如下:

DD=D+M/60+S/3600

3)十进制(DD)角度值换算成度分秒制(DMS)角度值。

将十进制度数转化成度、分、秒格式,在编写数控加工程序中一般是用于进行双重检查,以验证最初的变换结果是否正确。DD转化为DMS的步骤不能少于三步:第一步,将十进制度数转化成整数位度数,即舍去小数部分;第二步,取出小数部分,将其乘以60,得数的整数部分即为分值;第三步,将第二步计算中得数的小数部分再乘以60,最后四舍五入得出秒值。