4.3.2  斜齿圆柱齿轮的铣削

4.3.2 斜齿圆柱齿轮的铣削

在万能铣床上用盘形铣刀加工斜齿圆柱齿轮时,不是按仿形法原理,而是按无瞬心包络法原理加工的。齿轮的齿形表面是铣刀相对于齿轮做螺旋运动时,铣刀切削刃所形成的回转表面在空间形成的包络面。铣刀齿形求法较繁琐,平时在小批量或单件生产中,常用加工直齿圆柱齿轮的标准盘形铣刀来加工斜齿圆柱齿轮,但这样切出的齿形只是近似的。

铣刀刀号的选择有下述四种方法。

1.一般计算法

根据斜齿圆柱齿轮的齿数z和螺旋角β可计算出假想齿数z′,再根据z′来选择刀号。z′的数值可按下式计算∶

978-7-111-48239-0-Chapter04-44.jpg

式中 z——斜齿圆柱齿轮的齿数。

β——斜齿圆柱齿轮的螺旋角。

为了简化计算,978-7-111-48239-0-Chapter04-45.jpg值可用系数K来表示,即z′=zK,具体使用时可根据β值从表4-12中查取系数K值,然后乘以齿数z即可求得假想齿数z′

表4-12 系数K

978-7-111-48239-0-Chapter04-46.jpg

2.图表法

选用铣斜齿圆柱齿轮的铣刀时,也可直接查图4-7来决定铣刀刀号。

978-7-111-48239-0-Chapter04-47.jpg

图4-7 铣斜齿圆柱齿轮所用铣刀刀号

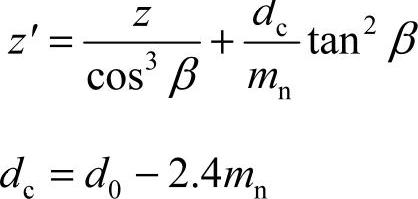
3.精确计算法

在万能铣床上用齿轮盘铣刀铣削斜齿轮,其齿形是近似的,齿面在靠近齿顶及齿根处都要产生一定的干涉过切量。螺旋角β越大,过切量也越大,从而会减少齿轮在啮合时的接触面积。为了改善这种情况,当β>20°时,可采用下式较精确地计算假想齿数z′

978-7-111-48239-0-Chapter04-48.jpg

式中 z——斜齿轮的齿数;

mn——斜齿轮的法向模数(mm);

β——斜齿轮的螺旋角(°);

dc——齿轮盘铣刀的中径(mm);

d0——齿轮盘铣刀的外径(mm)。

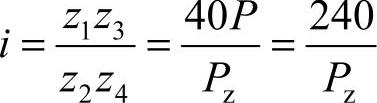
4.交换齿轮计算

斜齿圆柱齿轮导程Pz的计算公式为

978-7-111-48239-0-Chapter04-49.jpg

式中 d——斜齿轮的分度圆直径(mm);

β——斜齿轮的螺旋角(°);

mn——斜齿轮的法向模数;

z——斜齿轮的齿数。

交换齿轮速比计算公式为

978-7-111-48239-0-Chapter04-50.jpg

式中 P——铣齿机工作台丝杠导程,通常为6mm。