直线与直线相交的标准计算公式

1.直线与直线相交的标准计算公式

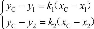
如图12-7所示,直角坐标系中,已知过点978-7-111-48239-0-Chapter12-29.jpg的直线方程的斜率为k1,过点978-7-111-48239-0-Chapter12-30.jpg的直线方程的斜率为k2,两直线相交于点C,则交点坐标978-7-111-48239-0-Chapter12-31.jpg可由以下两直线联立方程求得

978-7-111-48239-0-Chapter12-32.jpg

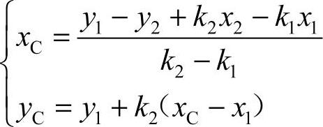
经推算后得到的标准计算公式为

978-7-111-48239-0-Chapter12-33.jpg

978-7-111-48239-0-Chapter12-34.jpg

图12-7 两直线相交