3.6.2  寸制三角螺纹的计算

3.6.2 寸制三角螺纹的计算

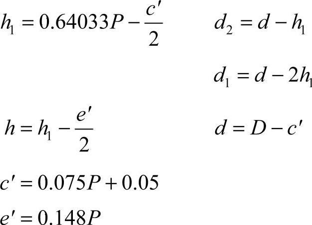
1.寸制三角螺纹的牙型及各部分代号(图3-23)

978-7-111-48239-0-Chapter03-85.jpg

图3-23 寸制三角螺纹的牙型及代号

2.寸制三角螺纹的相关计算及尺寸

978-7-111-48239-0-Chapter03-86.jpg