6.2.3 极坐标系与直角坐标系的关系
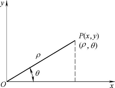
极坐标系和直角坐标系虽然是两种不同的坐标系统,但对于确定平面上的同一点来说,它们之间存在一定的联系。对同一平面内的极坐标系和直角坐标系作如下选定:使极坐标系的极点与直角坐标系的原点重合,极轴与x轴正半轴重合,并取相同的长度单位,如图6-8所示。
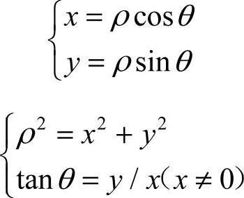
设平面上任一点P的直角坐标为(x,y),极坐标为(ρ,θ),从中可以得出它们之间的关系为

其中,上面公式为由极坐标(ρ,θ)换算直角坐标(x,y)时所用公式,下面公式为由直角坐标(x,y)换算极坐标(ρ,θ)时所用公式。
应该说明,ρ和θ的值应限制在ρ≥0,0≤θ<2π的范围内。

图6-8 极坐标系与直角坐标系的关系