6.3.2 竞技体育产业的商业价值评估与分析

6.3.2 竞技体育产业的商业价值评估与分析

6.3.2.1 投资机会评价

按照上述商业价值的基本涵义,商业价值是由市场需求引起的、能使投资获得回报的机会。因此,评价商业价值的大小就是衡量该项投资机会的大小,理所当然也就是所有未来收入减去成本之后的折现值,定义为NPV,这种方法称为现金流量贴现法。

我们知道,资金是有时间价值的。在投资者看来,投资的资金其价值随着时间的推移,按一定的复利率成几何级数增长,称为资金的时间价值。资金用于商业投资就要放弃它用于现时的消费。显然,牺牲现时的消费是为了将来得到更多的消费。因此,从消费者的角度看,推迟现时的消费,应获得补偿,推迟消费的时间越长,补偿也应该越多,并与时间成几何级数增长。所以,投资机会的未来收入在目前来说就不是它表面上的数值那么多,未来收入要与今天的投资等值,就必须增加一定比例才可以弥补投资者推迟的消费。也就是说,今天的钱比明天的钱更值钱。今天投资100元,明天可能必须收入110元才能与今天的100元等值,其中包含了对投资者的补偿。而这补偿的比例、或者说资金的时间价值,就是把未来收入转化为现在收入的贴现。贴现反映了资金的机会成本或最低收益水平。而机会成本正反映了企业为了赞助竞技体育比赛而放弃其他投资机会或其他赞助项目所造成的损失,比较好地衡量了竞技体育消费的可替代性。假若某职业运动俱乐部为了获得甲运动员的加盟而放弃了乙运动员,那么甲运动员加盟的机会成本就是乙运动员所能创造的收益。

如果已知现时的资金价值P,贴现率i,那么n年后这笔资金的价值F应该是:

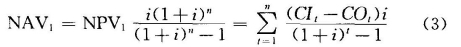
因此若将未来收入转化为现时的收入NPV时,计算方法是:

CIt——第t年的未来收入(现金流入);

COt——第t年的成本支出(现金流出);

CIt—COt——净现金流量;

i——贴现率;

n——计算期年数。

NPV是投资机会未来所有收入减去成本后的现值,是投资者放弃了现时的消费或其他途径的投资机会、而专门投资在该种产品上所应该获得的补偿。显然,NPV越大,某投资机会的商业价值就越大。贴现率i取决于资金来源的构成、未来的投资机会、风险大小、通货膨胀率等。比如投资者可以以贷款、股权、债券等方式筹得资金,每一种筹资方式都有它的资本成本,多种筹资方式时就会有加权平均资本成本,更有考虑了风险因素的资本资产定价模型确定资本成本。这些资本成本就可以被用作评价投资机会商业价值的贴现率。

当然,所有的未来收入都是不确定的,也就是说带有风险的。有些情况下,竞技体育比赛收入的不确定性相当大,比如中国足球冲击世界杯的失利影响中国观众对世界杯的观看。我们所能估计的商业价值就只能是经过风险分析之后净现值的期望值。因此,必须充分分析竞技体育各项收入和支出的风险,才能准确把握它的商业价值。

另外一个有同样作用的评价指标可以用该净现值乘以折现率得到的年收入表示,定义为净年值(NAV1)。净年值表示在既定折现率的条件下,在计算期年数内每年至少应该平均回收的资金,也可以表示某投资机会经济价值的大小。计算如下:

正确理解竞技体育产业商业价值,需要正确评价竞技体育的经济价值,需要明确投入竞技体育的支出成本和竞技体育产生的收益回报。竞技体育以比赛表演为核心,因此所有的收入和支出都围绕体育比赛而发生(如下表6-1所列)。然而,准确识别竞技体育的投入和产出,却并不是容易的事。因为这种投入和产出有很大的关联性和间接性。如一场经电视转播的球赛,可能会影响现场观看的门票收入;另外可能会有许多隐性收益或支出,如观众对某种运动项目比赛知识的增长带来的观赏兴趣的增长,就难以用货币单位来表示。

表6-1 竞技体育职业俱乐部的收入和支出

资料来源:根据相关统计设计

6.3.2.2 竞技体育产业商业价值的评价

为了方便地评价竞技体育的商业价值,需要划分不同层次、不同主体。笼统地评价竞技体育的商业价值是不恰当、也是不可行的。竞技体育的商业价值可从三个层次来评价:

(1)直接商业价值:来自于竞技比赛的核心业务,包括职业俱乐部和职业联盟创造的商业价值;

(2)间接商业价值:竞技体育塑造并成就了体育明星、教练员等竞技体育人才,通过合适的商业运作,这些体育人才——竞技体育的人力资源——也能创造商业价值。体育明星个人或团队通过竞技比赛中的优良表现得到观众认可,引起明星效应,得到广告收入等,间接为社会创造了价值;

(3)衍生商业价值:由于竞技体育对其他产业和行业产品或服务的需求,而导致其他产业和行业产出的增加,衍生商业价值表现为竞技体育对其他产业的拉动和波及能力。

当然,竞技体育还会带来一些社会性的“无形”价值,比如观众观看竞技比赛提升了文化消费的质量,取得了休闲的满足;竞技赛事举办地可提升城市形象,扩大影响力;不断增进潜在观众对竞技比赛知识的了解;竞技体育可以增加观众对集体的认同感、提升群体凝聚力,振奋民族精神,培养积极进取、勇敢坚毅的品质和个性等。但是这些社会价值由于无法明确计量,也不是竞技体育组织或相关产业能获得的收入,并且其中很多属于竞技体育的外部效应的社会价值,而根本不能通过市场交易实现其商业价值,因此我们不把它计入竞技体育的商业价值中。