2.3  例题解析

2.3 例题解析

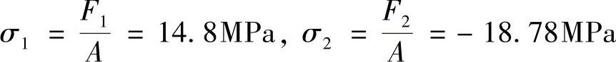
例2-1 一木柱受力如图2-1a所示,柱的横截面是直径为30cm的圆,材料服从胡克定律,其弹性模量E=20GPa,如果不计柱的自重,试求:(1)作轴力图;(2)各段柱横截面上的应力;(3)各段柱的纵向线应变;(4)柱的总变形。

978-7-111-43425-2-Chapter02-4.jpg

图2-1 例2-1图

解:(1)轴力图如图2-1b所示。

(2)AB段应力: 978-7-111-43425-2-Chapter02-5.jpg

BC段应力: 978-7-111-43425-2-Chapter02-6.jpg

CD段应力: 978-7-111-43425-2-Chapter02-7.jpg

(3)AB段线应变: 978-7-111-43425-2-Chapter02-8.jpg

BC段线应变: 978-7-111-43425-2-Chapter02-9.jpg

CD段线应变: 978-7-111-43425-2-Chapter02-10.jpg

(4)柱的总变形为

ΔADAB+ΔBC+ΔCDABlAB+εBClBC+εCDlCD

=-1.2×10-4×1m-4.95×10-5×2m-1.06×10-4×1m

=-3.25×10-4m

例2-2 图2-2所示拉杆沿斜截面mn由两部分胶合而成,设在胶合面上许用拉应力[σ]=100MPa,许用切应力[τ]=50MPa。并设胶合面的强度控制杆件的拉力,试问:为使杆件承受最大拉力Fα角的值应为多少?若横截面面积为4cm2,并规定α≤60°,试确定许用载荷[F]。

978-7-111-43425-2-Chapter02-11.jpg

图2-2 例2-2图

解:978-7-111-43425-2-Chapter02-12.jpg978-7-111-43425-2-Chapter02-13.jpg,得

978-7-111-43425-2-Chapter02-14.jpg978-7-111-43425-2-Chapter02-15.jpg

所以为使F最大,则应满足 978-7-111-43425-2-Chapter02-16.jpg

解得tanα=1/2,即α=26.6°。

α=60°且A=4cm2时,有

978-7-111-43425-2-Chapter02-17.jpg

所以[F]=46.2kN。

例2-3 求图2-3所示各简单结构中节点A的位移,设各杆的抗拉(压)刚度均为EA

解:(1)AB杆内力为零,AC杆内力为F,则

AB杆变形: ΔlAB=0

AC杆变形: 978-7-111-43425-2-Chapter02-18.jpg

A点位移如图2-3c所示,A1点为A点的最终位置。

其中|AA2|=ΔlACA点的位移为

978-7-111-43425-2-Chapter02-19.jpg

(2)AD杆内力为零,所以

978-7-111-43425-2-Chapter02-20.jpg

B点和A点的位移如图2-3d所示,点B3和点A3分别为B点和A点的最终位置,则由图可知,A点的位移ΔA=|AA3|=|B1B3|+|A1A2|,其中

978-7-111-43425-2-Chapter02-21.jpg

978-7-111-43425-2-Chapter02-22.jpg

图2-3 例2-3图

978-7-111-43425-2-Chapter02-23.jpg

所以978-7-111-43425-2-Chapter02-24.jpg,方向铅垂向下。

例2-4 在图2-4a所示杆系中,节点B处承受铅垂载荷F,斜杆AB的长度为L1,水平杆的长度为L2,两杆的材料相同,且抗拉和抗压许用应力相等,同为[σ],求为使杆系具有最小重量时的α角。

解:(1)选取节点B为研究对象,则受力分析如图2-4b所示。

由平衡条件

ΣFy=0,FABsinα=F

978-7-111-43425-2-Chapter02-25.jpg

图2-4 例2-4图

ΣFx=0,FABcosα=FBC

978-7-111-43425-2-Chapter02-26.jpg978-7-111-43425-2-Chapter02-27.jpg

(2)若使两杆的应力均达到材料的许用应力值[σ],则有FN/A=[σ],即

978-7-111-43425-2-Chapter02-28.jpg

由题意可得,斜杆AB的长度为

978-7-111-43425-2-Chapter02-29.jpg

结构的重量为最轻,即结构所用材料的体积V为最小。且

978-7-111-43425-2-Chapter02-30.jpg

V最小,则应有dV/dα=0,即

978-7-111-43425-2-Chapter02-31.jpg

所以978-7-111-43425-2-Chapter02-32.jpg

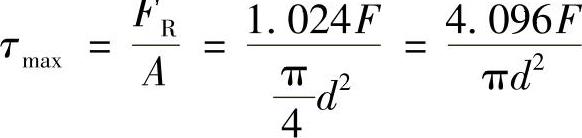
例2-5 求如图2-5a所示杆的应变能(EA为已知)。

978-7-111-43425-2-Chapter02-33.jpg

图2-5 例2-5图

解:去掉D支座多余约束,以FD代替,如图2-5b所示。各段内力为

FCD=FDFBC=3F+FDFAB=2F+FD

由变形条件 ΔlABlBClCD=0

代入物理条件 978-7-111-43425-2-Chapter02-34.jpg

得 (2F+FDa+(3F+FD)×2a+FDa=0

所以 FD=-2F

FCD=-2FFBC=FFAB=0

则杆件应变能为 978-7-111-43425-2-Chapter02-35.jpg

例2-6 某结构如图2-6所示,其中的横梁ABC可看做刚体,它由钢杆1,2支承,杆1的长度做短了δ=3×10-3l,两杆的截面积均为A=2cm2,弹性模量E=200GPa,线胀系数α=12.5×10-6K-1,试求:(1)装配后各杆横截面上的应力;(2)装配后温度需要改变多少才能消除初应力?

978-7-111-43425-2-Chapter02-36.jpg

图2-6 例2-6图

解:(1)设∠DCA=θ

由静力平衡方程 ΣMA=0,F1×2lsinα=F2×lsin45°

变形协调方程 978-7-111-43425-2-Chapter02-37.jpg

联立求解得到 F1=2.96kN,F2=-37.56kN

978-7-111-43425-2-Chapter02-38.jpg

(2)由978-7-111-43425-2-Chapter02-39.jpg解得ΔT=59.63K=59.63℃时,初应力为零。

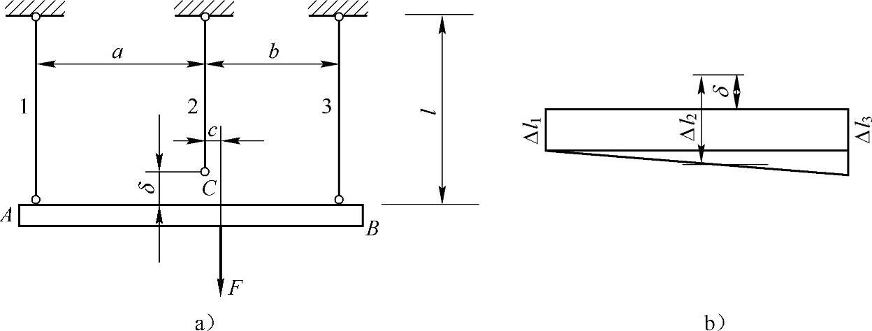
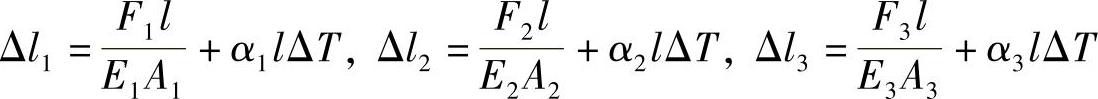
例2-7 刚性横梁AB悬挂于三根平行杆上,如图2-7a所示。l=2m,F=40kN,a=1.5m,b=1m,c=0.25m,δ=0.2mm。杆1由黄铜制成,A1=2cm2E1=100GPa,α1=16.5×10-6K-1,杆2和杆3由碳钢制成,A2=1cm2A3=3cm2E2=E3=200GPa,α2=α3=12.5×10-6K-1,设温度升高20℃,试求此时各杆的应力。

978-7-111-43425-2-Chapter02-40.jpg

图2-7 例2-7图

解:由平衡条件

ΣFy=0,F1+F2+F3-F=0

ΣMC=0,F1a-F3b+Fc=0

以及变形协调方程(图2-7b)

978-7-111-43425-2-Chapter02-41.jpg

其中 978-7-111-43425-2-Chapter02-42.jpg

978-7-111-43425-2-Chapter02-43.jpg

978-7-111-43425-2-Chapter02-44.jpg

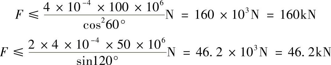
例2-8 一木质拉杆接头部分如图2-8所示,接头处的尺寸为h=b=18cm,材料的许用应力[σ]=5MPa,[σbs]=10MPa,[τ]=2.5MPa,求许用拉力[F]。

978-7-111-43425-2-Chapter02-45.jpg

图2-8 例2-8图

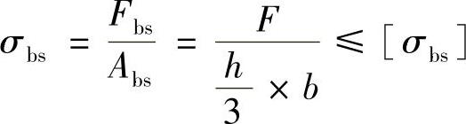
解:按剪切强度计算,有978-7-111-43425-2-Chapter02-46.jpg

F≤[τ]lb=2.5MPa×(0.18cm)2=81kN

按挤压强度计算,有978-7-111-43425-2-Chapter02-47.jpg

978-7-111-43425-2-Chapter02-48.jpg

按抗拉强度计算,有 978-7-111-43425-2-Chapter02-49.jpg

978-7-111-43425-2-Chapter02-50.jpg

因此,[F]=54kN。

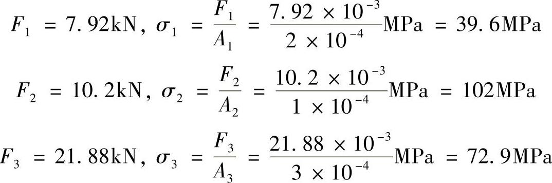
例2-9 图2-9a所示为一钢板条,用九个直径均为d的铆钉固定在立柱上。合力F已知,l=8aa为铆钉间距)。试求铆钉内的最大切应力。假设:①若作用力通过铆钉群截面的形心,则各铆钉的受力相等。②若作用一力偶,则钢板条有绕铆钉群截面形心C转动的趋势,于是任一铆钉的受力大小与其到形心C的距离成正比,而力的方向与该铆钉至形心C的连线相垂直。

978-7-111-43425-2-Chapter02-51.jpg

图2-9 例2-9图

解:A端外力F向铆钉群截面的形心C处简化,得到一个向下的力F和一个顺时针力偶M,其中M=Fl

F在铆钉内引起相等的剪力,其值皆为F/9。

由力矩平衡方程 978-7-111-43425-2-Chapter02-52.jpg

以及 978-7-111-43425-2-Chapter02-53.jpg

联立解得 978-7-111-43425-2-Chapter02-54.jpg

铆钉1最危险,其总剪力为

978-7-111-43425-2-Chapter02-55.jpg

铆钉内的切应力为

978-7-111-43425-2-Chapter02-56.jpg

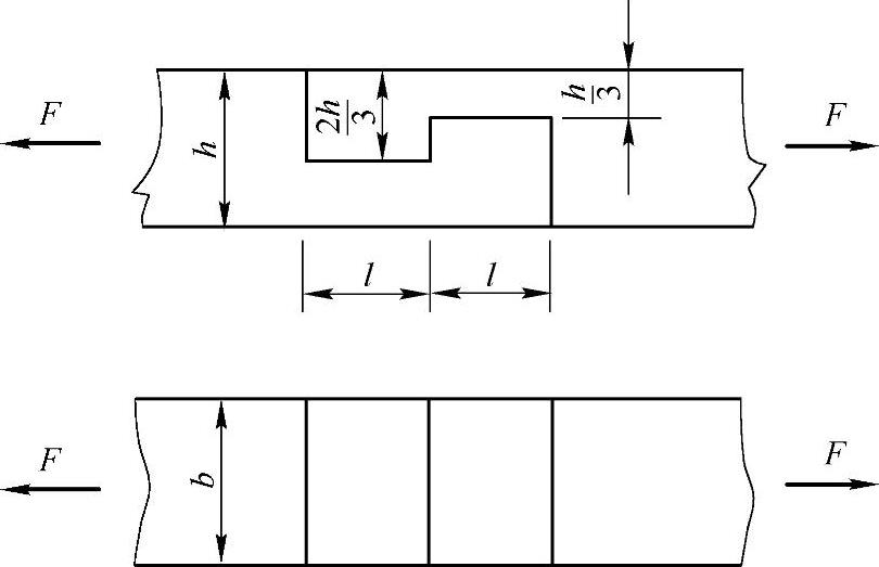
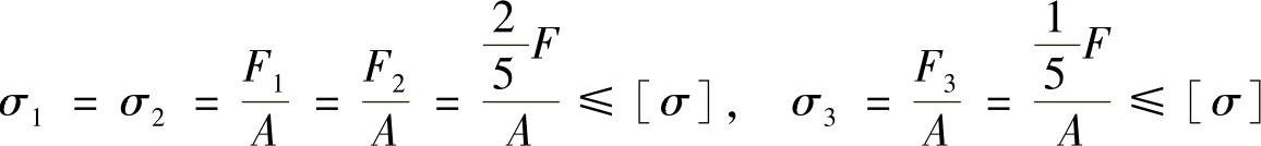
例2-10 如图2-10a所示,已知杆ADCEBF的横截面面积均为A,杆材料的许用应力为[σ],梁AB可视为刚体。求结构的许用载荷[F]。

978-7-111-43425-2-Chapter02-57.jpg

图2-10 例2-10图

解:设杆1、杆2、杆3的内力分别为F1F2F3,如图2-10b所示。由于对称,刚性杆AB在外力F作用下有向下的平移,其移动的距离即为各杆的变形,即

Δl1l2l3

根据胡克定律有

978-7-111-43425-2-Chapter02-58.jpg

978-7-111-43425-2-Chapter02-59.jpg

所以 F1=F2=2F3 (a)

又由力的平衡方程,得ΣFy=0,F1+F2+F3=F (b)

联合式(a)、式(b)两式求解,得

978-7-111-43425-2-Chapter02-60.jpg

由正应力强度条件知

978-7-111-43425-2-Chapter02-61.jpg

F≤2.5[σ]AF≤5[σ]A

所以,许用载荷 [F]=2.5[σ]A

例2-11 在如图2-11a所示结构中,杆CD为刚性杆,已知F=3kN,斜杆AB的横截面积A=100mm2,许用应力[σ]=160MPa,试校核AB杆的强度。

978-7-111-43425-2-Chapter02-62.jpg

图2-11 例2-11图

解:(1)列平衡方程 取刚体CD作为研究对象,其受力如图2-11b所示,设杆AB的轴力为FAB,由

ΣMC=0,即978-7-111-43425-2-Chapter02-63.jpg

FAB=4F=12kN

(2)AB杆应力

978-7-111-43425-2-Chapter02-64.jpg

所以,杆AB安全的。