9.3  例题解析

9.3 例题解析

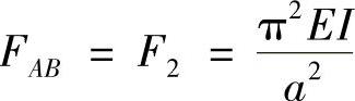
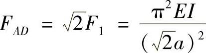
例9-1 图9-2所示两桁架中各杆的材料和截面均相同,设F1F2分别为这两个桁架稳定的最大载荷,试比较F1F2的大小。

解:图9-2a中,AD杆受压,由

978-7-111-43425-2-Chapter09-15.jpg

解得 978-7-111-43425-2-Chapter09-16.jpg

图9-2b中,AB杆受压,由

978-7-111-43425-2-Chapter09-17.jpg

解得 978-7-111-43425-2-Chapter09-18.jpg

所以F2F1

978-7-111-43425-2-Chapter09-19.jpg

图9-2 例9-1图

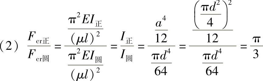
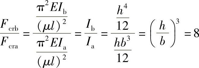
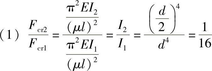
例9-2 如图9-3所示,长方形截面细长压杆,b/h=1/2;如果将b改为h后仍为细长杆,临界力Fcr是原来的多少倍?

解:978-7-111-43425-2-Chapter09-20.jpg

例9-3 圆截面的细长压杆,材料、杆长和杆端约束保持不变,若将压杆的直径缩小为原来的1/2,则其临界力为原压杆的多少倍?若将压杆的横截面改变为面积相同的正方形截面,则其临界力为原压杆的多少倍?

978-7-111-43425-2-Chapter09-21.jpg

图9-3 例9-2图

解:978-7-111-43425-2-Chapter09-22.jpg

故临界力为原压杆的978-7-111-43425-2-Chapter09-23.jpg

978-7-111-43425-2-Chapter09-24.jpg

故临界力为原压杆的978-7-111-43425-2-Chapter09-25.jpg

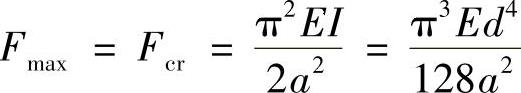
例9-4 五根直径都为d的细长圆杆铰接构成平面正方形杆系ABCD,如果各杆材料相同,弹性模量为E。求图9-4a、b所示两种载荷作用下杆系所能承受的最大载荷。

解:a)杆BD受压,其余杆受拉。

BD杆的临界压力为

978-7-111-43425-2-Chapter09-26.jpg

故杆系所能承受的最大载荷为

978-7-111-43425-2-Chapter09-27.jpg

b)杆BD受拉,其余杆受压。

978-7-111-43425-2-Chapter09-28.jpg

图9-4 例9-4图

四根受压杆的临界压力为

978-7-111-43425-2-Chapter09-29.jpg

故杆系所能承受的最大载荷为

978-7-111-43425-2-Chapter09-30.jpg

例9-5 图9-5所示结构中,1,2两杆截面和材料相同,均为细长压杆。确定使载荷F为最大值时的θ角(设0<θ<π/2)。

978-7-111-43425-2-Chapter09-31.jpg

图9-5 例9-5图

解:由静力平衡条件可解得两杆的压力分别为

F1=FcosθF2=Fsinθ

两杆的临界压力分别为

978-7-111-43425-2-Chapter09-32.jpg

要使F最大,只有F1F2达到临界压力,即

978-7-111-43425-2-Chapter09-33.jpg

978-7-111-43425-2-Chapter09-34.jpg

将式(2)除以式(1),得

978-7-111-43425-2-Chapter09-35.jpg

由此得

θ=arctan(cot2β

例9-6 松木制成的受压柱,矩形横截面为b×h=100mm×180mm,弹性模量E=10GPa,λp=110,杆长l=7m。在xz平面内失稳时(绕y轴转动),杆端约束为两端固定(图9-6a),在xy平面内失稳时(绕z轴转动),杆端约束为两端铰支(图9-6b)。求木柱的临界应力和临界力。

978-7-111-43425-2-Chapter09-36.jpg

图9-6 例9-6图

解:(1)在xz(最小刚度)平面内的临界应力和临界力。

此时μy=0.5,横截面对y轴的惯性半径为

978-7-111-43425-2-Chapter09-37.jpg

在此平面内,

978-7-111-43425-2-Chapter09-38.jpg

符合欧拉公式的适用条件。临界应力为

978-7-111-43425-2-Chapter09-39.jpg

临界力为

FcrcrA=(6.72×100×180×10-3)kN=121kN

(2)在xy(最大刚度)平面内的临界应力和临界力。

此时μy=1.0,横截面对z轴的惯性半径为

978-7-111-43425-2-Chapter09-40.jpg

在此平面内,

978-7-111-43425-2-Chapter09-41.jpg

符合欧拉公式的适用条件。临界应力为

978-7-111-43425-2-Chapter09-42.jpg

临界力为

FcrcrA=(5.44×100×180×10-3)kN=97.9kN

例9-7 图9-7a所示结构中,分布载荷q=20kN/m。梁的截面为矩形,b=90mm,h=130mm。立柱的截面为圆形,直径d=80mm。梁和柱均为Q235钢,[σ]=160MPa,E=206GPa,σp=200MPa,稳定安全因数nst=3。试校核结构的安全。

978-7-111-43425-2-Chapter09-43.jpg

图9-7 例9-7图

解:(1)校核梁的强度。

根据图9-7b所示,由ΣMA=0得

FB =62.5kN

作梁的弯矩图,如图9-7c所示,则由图可知

Mmax =35.2kN·m

梁的最大弯曲正应力为

978-7-111-43425-2-Chapter09-44.jpg

所以梁的强度足够。

(2)立柱的稳定性校核。

立柱的轴向压力为F=FB=62.5kN,柱两端铰支,则

978-7-111-43425-2-Chapter09-45.jpg

λλp,故BC杆是大柔度杆。从而有

978-7-111-43425-2-Chapter09-46.jpg

稳定校核

978-7-111-43425-2-Chapter09-47.jpg

柱的稳定性足够,所以结构安全。

例9-8 图9-8所示工字钢直杆在温度t1=20℃时安装,此时杆不受力,已知杆长l=6m,材料为Q235钢,E=200GPa。试问当温度升高到多少摄氏度时杆将失稳?(材料的线胀系数α=12.5×10-6K-1)。

978-7-111-43425-2-Chapter09-48.jpg

图9-8 例9-8图

解:(1)确定工字钢的柔度。

工字钢的两端固定,则

μ=0.5

查型钢表得NO.20a工字钢的惯性半径为

978-7-111-43425-2-Chapter09-49.jpg

此工字钢杆属细长杆。则

978-7-111-43425-2-Chapter09-50.jpg

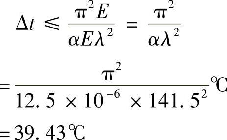
(2)当温度升高Δt℃时,杆中应力为

σt=αEΔtσcr,即978-7-111-43425-2-Chapter09-51.jpg

978-7-111-43425-2-Chapter09-52.jpg

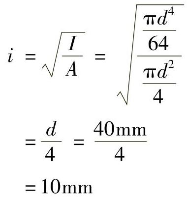
例9-9 如图9-9a所示托架中的AB杆为圆截面直杆,直径d=40mm,长度l=800mm,其两端可视为A3钢,试求:(1)AB杆的临界载荷Fcr;(2)若已知工作载荷F=70kN,AB杆规定的稳定安全因数nst=2,问此托架是否安全?

解:(1)计算压杆柔度,判断压杆类型。

圆截面的惯性半径为

978-7-111-43425-2-Chapter09-53.jpg

压杆两端铰支,则

978-7-111-43425-2-Chapter09-54.jpg

978-7-111-43425-2-Chapter09-55.jpg

图9-9 例9-9图

λsλλp,故AB杆为中柔度杆,所以临界力为

978-7-111-43425-2-Chapter09-56.jpg

(2)取杆CBD为研究对象,如图9-9b所示由ΣMC=0,有

(300mm+600mm)F-FNABsinα×600mm=0

因为

978-7-111-43425-2-Chapter09-57.jpg

所以

978-7-111-43425-2-Chapter09-58.jpg

由上可知:AB杆稳定性不够,故此托架不安全。