7.3  例题解析

7.3 例题解析

例7-1 从构件中取出的微元受力如图7-6所示,其中AC为自由表面(无外力作用)。试求σxτxy

解:978-7-111-43425-2-Chapter07-32.jpg

978-7-111-43425-2-Chapter07-33.jpg

联立方程解得 σx=-33.3MPa

τxy=-τyx=-57.7MPa

例7-2 已知应力状态如图7-7所示(应力单位为MPa),试用解析法计算图中指定截面的正应力和切应力。

978-7-111-43425-2-Chapter07-34.jpg

图7-6 例7-1图

解:a)由题图所示应力状态可知

σx=30MPa,σy=10MPa,τxy=-20MPa,α=45°

将上列数据代入平面应力状态斜截面应力公式,得指定斜截面上的正应力和切应力分别为

978-7-111-43425-2-Chapter07-35.jpg

978-7-111-43425-2-Chapter07-36.jpg

图7-7 例7-2图

978-7-111-43425-2-Chapter07-37.jpg

b)由题图所示应力状态可知

σx=-30MPa,σy=10MPa,τxy=20MPa,α=22.5°

由此可得指定斜截面上的正应力和切应力分别为

978-7-111-43425-2-Chapter07-38.jpg

c)由题图所示应力状态可知

σx=10MPa,σy=-20MPa,τx=15MPa,α=-60°

由此可得指定斜截面上的正应力和切应力分别为

978-7-111-43425-2-Chapter07-39.jpg

例7-3 试确定图7-8所示应力状态中的最大正应力和最大切应力。图中应力的单位为MPa。

978-7-111-43425-2-Chapter07-40.jpg

图7-8 例7-3图

解:978-7-111-43425-2-Chapter07-41.jpg

978-7-111-43425-2-Chapter07-42.jpg

例7-4 图7-9所示矩形板,承受正应力σxσy作用,试求板厚的改变量Δδ与板件的体积改变量ΔV。已知板件厚度δ=10mm,宽度b=800mm,高度h=600mm,正应力σx=80MPa,σy=-40MPa,材料为铝,弹性模量E=70GPa,泊松比μ=0.33。

解:此为平面应力状态问题。设板厚度方向的正应力为εz,则有

978-7-111-43425-2-Chapter07-43.jpg

板厚的改变量为

978-7-111-43425-2-Chapter07-44.jpg

图7-9 例7-4图

978-7-111-43425-2-Chapter07-45.jpg

体应变为

978-7-111-43425-2-Chapter07-46.jpg

由此可得该板件的体积改变量为

978-7-111-43425-2-Chapter07-47.jpg

978-7-111-43425-2-Chapter07-48.jpg

978-7-111-43425-2-Chapter07-49.jpg

图7-10 例7-5图

例7-5 从某铸铁构件内的危险点处取出的单元体,各面上的应力分量如图7-10所示。已知铸铁材料的泊松比μ=0.25,许用拉应力[σt]=30MPa,许用压应力[σc]=90MPa。试按第一和第二强度理论校核其强度。

解:主应力

978-7-111-43425-2-Chapter07-50.jpg

按第一强度理论:σr1=σ1<[σt],安全

按第二强度理论:σr2=σ1-μσ2+σ3)=[24.3-0.25×(0-9.27)]MPa<[σt],安全。

978-7-111-43425-2-Chapter07-51.jpg

图7-11 例7-6图

例7-6 某厚壁筒横截面如图7-11所示。在危险点处,σt=500MPa,σr=-350MPa,第三个主应力垂直于图面是拉应力,且其数值为420MPa。试按第三和第四强度理论计算其相当应力。

解:(1)危险点处的主应力为

σ1=500MPa,σ2=420MPa,σ3=-350MPa

(2)按第三强度理论计算其相当应力为

σr3=σ1-σ3=500MPa+350MPa=850MPa

(3)按第四强度理论计算其相当应力为

978-7-111-43425-2-Chapter07-52.jpg

例7-7 图7-12所示悬臂梁,承受载荷F=20kN作用,试绘微体ABC的应力图,并确定一应力的大小及方位。

978-7-111-43425-2-Chapter07-53.jpg

图7-12 例7-7图

解:由题图可知,指定截面的剪力、弯矩分别为

FS=F=20kN,|M|=Fa=20kN×1m=20kN·m

微体ABC的应力图依次如图7-13a、b和c所示。

对于应力图7-13a,其正应力

978-7-111-43425-2-Chapter07-54.jpg

978-7-111-43425-2-Chapter07-55.jpg

图 7-13

由此可知,主应力为

σ1=60MPa,σ2=σ3=0

σ1的方位角为

α0=0

对于应力图7-13b,其正应力和切应力分别为

978-7-111-43425-2-Chapter07-56.jpg

极值应力为

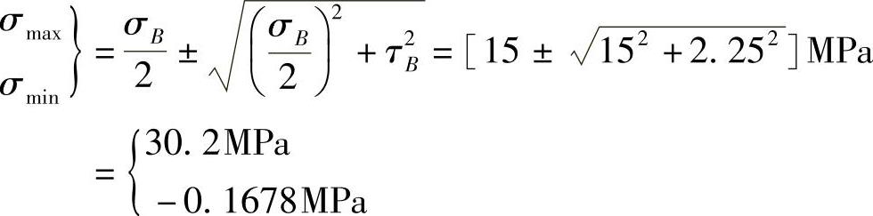
978-7-111-43425-2-Chapter07-57.jpg

由此可知,主应力为

σ1=30.2MPa,σ2=0,σ3=-0.1678MPa

978-7-111-43425-2-Chapter07-58.jpg

σ1的方位角为

α0=-4.27°

对于应力图7-13c,其切应力为

978-7-111-43425-2-Chapter07-59.jpg

由此得各主应力依次为

σ1=3MPa,σ2=0,σ3=-3MPa

σ1的方位角为

α0=-45°