10.3  例题解析

10.3 例题解析

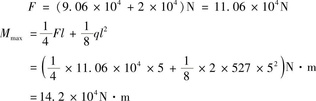
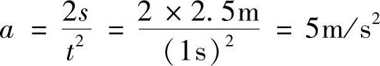
例10-1 如图10-1所示,一起重机重P1=5kN,装在两根跨度l=4m的20a工字钢梁上,用钢索起吊P2=50kN的重物。该重物在前3s内按等加速上升10m。已知[σ]=170MPa,试校核梁的强度(不计梁和钢索的自重)。

解:978-7-111-43425-2-Chapter10-9.jpg

978-7-111-43425-2-Chapter10-10.jpg

978-7-111-43425-2-Chapter10-11.jpg

图10-1 例10-1图

978-7-111-43425-2-Chapter10-12.jpg

该梁符合强度要求。

例10-2 如图10-2所示,一重量为G的物体以速度v沿水平方向冲击等截面直杆AB的顶端B,杆长度为a,抗弯刚度为EI,抗弯截面系数为Wz,略去剪力的影响,试求AB杆的最大正应力。

解:此为水平冲弯,由公式可得到梁的静变形为

978-7-111-43425-2-Chapter10-13.jpg

又因为

978-7-111-43425-2-Chapter10-14.jpg

由能量守恒定理可知,拉伸、压缩应变能存在如下关系:

978-7-111-43425-2-Chapter10-15.jpg

978-7-111-43425-2-Chapter10-16.jpg

图10-2 例10-2图

因此可以求出

978-7-111-43425-2-Chapter10-17.jpg

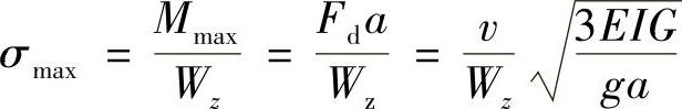
AB杆的最大正应力在A点出现,大小为

978-7-111-43425-2-Chapter10-18.jpg

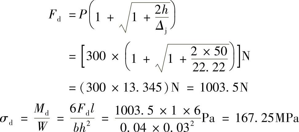
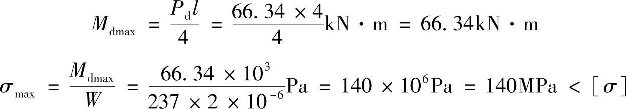
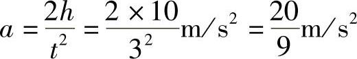
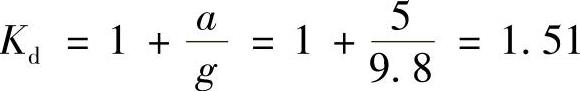
例10-3 如图10-3a所示起重机机构的重量为20kN,装在由两根32a工字钢组成的梁上,用绳索吊起重物60kN,并在第1s内以等加速上升2.5m,试求绳内所受拉力及梁的最大正应力(考虑梁的自重)。

解:这是等加速直线运动情况下的动载荷计算问题。

(1)加速度。

978-7-111-43425-2-Chapter10-19.jpg可得

978-7-111-43425-2-Chapter10-20.jpg

(2)动荷因数

978-7-111-43425-2-Chapter10-21.jpg

(3)绳所受拉力

Fd=KdG=1.51×60kN=9.06×104N

(4)梁的最大正应力

查型钢表得32a工字钢有

q=527N/m,Wz=692.2×10-6m3

978-7-111-43425-2-Chapter10-22.jpg

图10-3 例10-3图

梁受力如图10-3b所示,其中

978-7-111-43425-2-Chapter10-23.jpg

梁的最大正应力为

978-7-111-43425-2-Chapter10-24.jpg

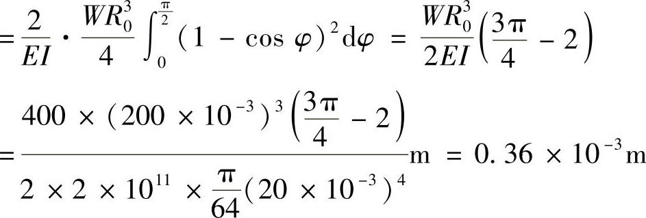
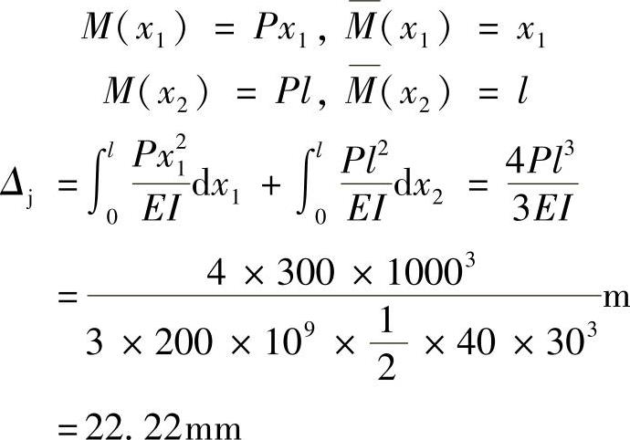
例10-4d=20mm的圆截面钢杆构成平均半径为R0=200mm的曲杆,如图10-4所示。有一重物W=400N,自高度H=30mm处自由落下,试求W作用点C的位移。材料的弹性模量E=200GPa。

解:(1)C点在W作用下的静位移。

因为对称,所以AB两点的支反力满足978-7-111-43425-2-Chapter10-25.jpg。用卡氏定理求位移,首先写出弯矩方程并求得

978-7-111-43425-2-Chapter10-26.jpg

978-7-111-43425-2-Chapter10-27.jpg

图10-4 例10-4图

978-7-111-43425-2-Chapter10-28.jpg

(2)动荷因数

978-7-111-43425-2-Chapter10-29.jpg

(3)动位移

ΔC=KdΔj =13.95×0.36×10-3m=5.02mm

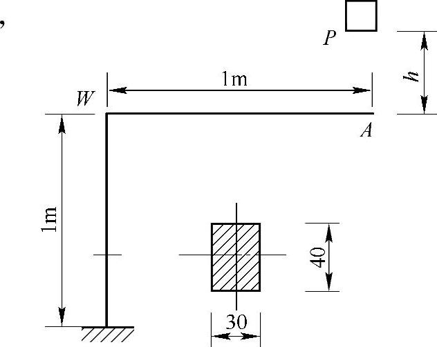
例10-5 如图10-5所示的等截面钢架,一重量为P=300N的物体,自高度h=50mm处自由落下,试计算钢架内的最大正应力。已知材料的弹性模量E=200GPa,刚体质量与冲击物的变形均忽略不计。

解:(1)由单位载荷法计算点A的静位移

978-7-111-43425-2-Chapter10-30.jpg

(2)最大动应力为

978-7-111-43425-2-Chapter10-31.jpg

图10-5 例10-5图

978-7-111-43425-2-Chapter10-32.jpg

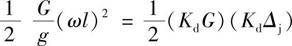
例10-6 如图10-6所示,AC杆在水平平面ABC内,绕过A点的垂直轴以匀角速度ω转动,杆的C端有一重为G的集中质量,如因支座B的约束,AC杆突然被停止转动,试求AC杆内最大冲击应力(忽略杆AC的质量)。

解:这是水平冲击问题,由题意知,杆AC在水平平面内转动,因此冲击物的势能不变,只有动能和应变能的变换,根据能量守恒有T=Vd。冲击开始的瞬时,重物GC点有速度ωl,冲击结束时,其末速度为零,故动能增加为

978-7-111-43425-2-Chapter10-33.jpg

杆应变能Vd的变化就等于冲击力Fd在位移Δd上所做的功,即

978-7-111-43425-2-Chapter10-34.jpg

于是 978-7-111-43425-2-Chapter10-35.jpg

由此可得 978-7-111-43425-2-Chapter10-36.jpg

978-7-111-43425-2-Chapter10-37.jpg

图10-6 例10-6图

G作为静载荷作用于C点,引起AC杆在C点的静挠度为

978-7-111-43425-2-Chapter10-38.jpg

所以 978-7-111-43425-2-Chapter10-39.jpg

ABB截面上具有最大的弯矩为

978-7-111-43425-2-Chapter10-40.jpg

所以 978-7-111-43425-2-Chapter10-41.jpg

例10-7 在直径d=100mm的轴上,装有转动惯量I0=0.5kN·m·s2的飞轮,轴以300r/min的匀角速度旋转,如图10-7所示。现用制动器使飞轮在4s内停止转动,试求轴内的最大切应力(不计轴的质量和轴承内的摩擦)。

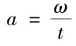
解:设轴为等减速转动,其角加速度为

978-7-111-43425-2-Chapter10-42.jpg

978-7-111-43425-2-Chapter10-43.jpg

图10-7 例10-7图

Td=I0a

978-7-111-43425-2-Chapter10-44.jpg

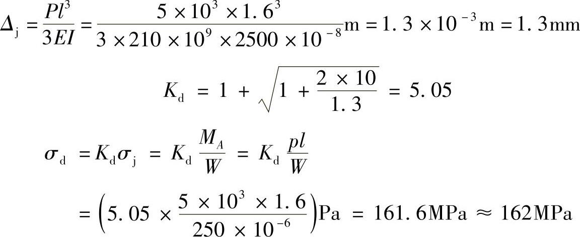
例10-8 重量为P=5kN的重物自高度h=10mm处自由下落,冲击到20b工字钢梁上的B点处,如图10-8所示。已知钢的弹性模量E=210GPa。试求梁内最大冲击正应力(不计梁的自重)。

978-7-111-43425-2-Chapter10-45.jpg

图10-8 例10-8图

解:978-7-111-43425-2-Chapter10-46.jpg