7.1.2  平面应力状态分析

7.1.2 平面应力状态分析

(1)解析法

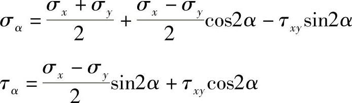
1)图7-1所示垂直于xy平面的任意斜截面ef以它的外法线nx轴的夹角α定义,且α角以自x轴逆时针转至外法线n为正;斜截面上图中所示的正应力σα和切应力τα均为正值,即σα以拉应力为正,τα以使其所作用的体元有顺时针转动趋势者为正。

2)与z平面垂直的任意斜截面上的应力为

978-7-111-43425-2-Chapter07-1.jpg

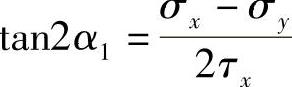
3)最大正应力和最小正应力为

978-7-111-43425-2-Chapter07-2.jpg

图 7-1

978-7-111-43425-2-Chapter07-3.jpg

最大正应力和最小正应力是平面应力状态的两个主应力,位于与x轴成α0α0+90°倾角的两个主平面上,由此得出

978-7-111-43425-2-Chapter07-4.jpg

4)最大切应力和最小切应力 主切应力即切应力极值。两个主切应力大小相等,方向相反,即遵守切应力互等定理,并且大小等于两个主应力之差的一半,即

978-7-111-43425-2-Chapter07-5.jpg

最大切应力和最小切应力所在截面相互垂直,位于α1α1+90°的平面,且

978-7-111-43425-2-Chapter07-6.jpg

其作用面与主平面成±45°。

(2)图解法(应力圆法)

1)平面应力状态下,为了求得σατα,便于直观地了解平面应力状态的一些特征,可使上述σατα的计算公式以图形即应力圆(莫尔圆)来表示。在στ的直角坐标系中,应力圆以978-7-111-43425-2-Chapter07-7.jpg为圆心,以978-7-111-43425-2-Chapter07-8.jpg为半径,如图7-2所示。

2)作应力圆步骤。将单元体x截面上的应力σxτx按某一比例尺定出点D1,依单元体y截面上的应力σyτyx(取τxy=-τyx)定出点D2,然后连一直线,以它与σ轴的交点C为圆心,并且以CD1CD2为半径作圆得出。

3)利用应力圆求α斜截面(图7-2a)上的应力σατα时,只需将应力圆圆周上表示x截面上的应力的点D1所对应的半径CD1按方位角α的转向转动2α角,得到半径CE,那么圆周上E点的坐标便代表了单元体α斜截面上的应力。

978-7-111-43425-2-Chapter07-9.jpg

图 7-2

4)在应力圆圆周上代表单元体两个相互垂直的x截面和y截面上应力的点D1D2所夹圆心角为180°,它是单元体上相应两个面之间夹角的两倍,这反映了前述σατα计算公式中以2α为参变量。