7.1.3  三向应力状态

7.1.3 三向应力状态

1)当空间应力状态的三个主应力σ1σ2σ3已知时(图7-3b),与任何一个主平面垂直的那些斜截面(即平行于该主平面上主应力的斜截面)上的应力均可用应力圆表示。与三个主平面均斜交的任意斜截面(图7-3a中的abc截面)上应力的点D必位于以主应力作出的三个应力圆所围成的阴影范围内。

978-7-111-43425-2-Chapter07-10.jpg

图 7-3

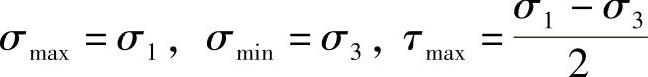
2)三向应力状态的最大应力为

978-7-111-43425-2-Chapter07-11.jpg

其中,τmax作用在与σ2平行且与σ1σ3的方向成45°角的平面上。