6.3  例题解析

6.3 例题解析

例6-1 图6-2所示简支梁AB受集中力F作用,试求该梁的最大挠度和转角。

解:(1)求反力并列梁的弯矩方程。

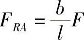
简支梁AB的支反力为

978-7-111-43425-2-Chapter06-5.jpg978-7-111-43425-2-Chapter06-6.jpg

按图6-2所示坐标系Axy,分两段列出AB梁的弯矩方程为

978-7-111-43425-2-Chapter06-7.jpg

图6-2 例6-1图

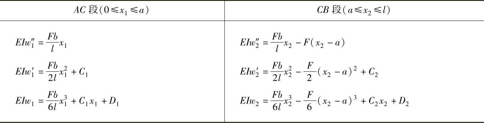
AC段: 978-7-111-43425-2-Chapter06-8.jpg

CB段: 978-7-111-43425-2-Chapter06-9.jpg

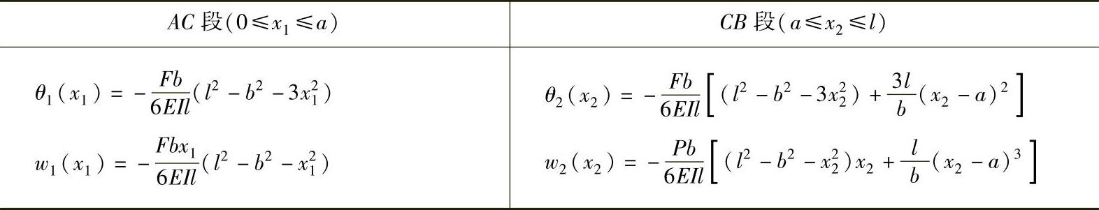
(2)列出梁的各段的挠曲线近似微分方程并积分。

ACCB两段的挠曲线近似微分方程及积分结果,列于表6-1。

CB梁段,对含有(x2-a)的项积分时,就以(x2-a)作为自变量进行积分,这样可以使确定积分常数的计算得到简化。

(3)确定积分常数。

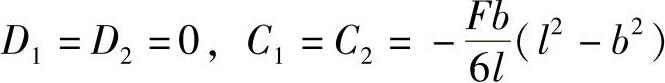
积分出现的四个积分常数C1D1C2D2,需要四个条件来确定。由于AB梁的挠曲线应该是一条光滑连续的曲线,因此,在ACCB两段挠曲线的交界截面C处,挠曲线应有唯一的挠度和转角。即挠曲线在C截面的连续条件为

x1=x2=a时,θ1=θ2w1=w2

978-7-111-43425-2-Chapter06-10.jpg

由以上两式解得C1=C2D1=D2

此外,梁在AB两端的边界条件为

x1=0时, w1=0

x2=l时, w2=0

D1=0

978-7-111-43425-2-Chapter06-11.jpg

解得

978-7-111-43425-2-Chapter06-12.jpg

将梁ACCB段的转角方程和挠曲线方程列于表6-2中。

6-1

978-7-111-43425-2-Chapter06-13.jpg

6-2

978-7-111-43425-2-Chapter06-14.jpg

(4)求梁的最大挠度和转角。

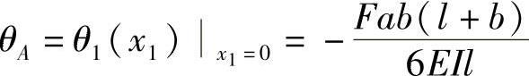
在梁的左端截面的转角为

978-7-111-43425-2-Chapter06-15.jpg

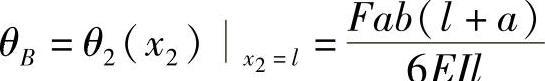
在梁右端截面的转角为

978-7-111-43425-2-Chapter06-16.jpg

ab时,可以断定θB为最大转角。

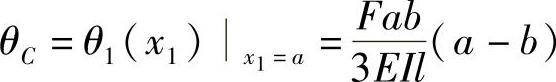
为了确定挠度为极值的截面,先确定C截面的转角,则

978-7-111-43425-2-Chapter06-17.jpg

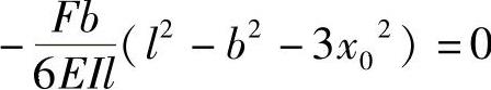
ab,则转角θC>0。AC段挠曲线为光滑连续曲线,而θA<0,当转角从截面A到截面C连续地由负值变为正值时,AC段内必有一截面转角为零。为此,令x1=x0时的θ1x1)=0,即

978-7-111-43425-2-Chapter06-18.jpg

解得

978-7-111-43425-2-Chapter06-19.jpg

x0的转角为零,亦即挠度最大的截面位置。由AC段的挠曲线方程可求得AB梁的最大挠度为

978-7-111-43425-2-Chapter06-20.jpg

例6-2 试用叠加法求图6-3所示梁指定截面的挠度和转角。设梁的抗弯刚度EI为已知。

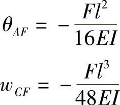
解:(1)当F单独作用时,查表得

978-7-111-43425-2-Chapter06-21.jpg

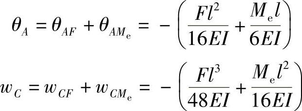
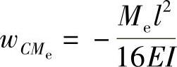
(2)当Me单独作用时,查表得

978-7-111-43425-2-Chapter06-22.jpg

978-7-111-43425-2-Chapter06-23.jpg

图6-3 例6-2图

978-7-111-43425-2-Chapter06-24.jpg

(3)当F和Me共同作用时,则

978-7-111-43425-2-Chapter06-25.jpg

例6-3 已知一钢轴的飞轮AF=20kN,轴承B处的许可转角[θB]=0.5°,钢的弹性模量E=200GPa。试确定轴的直径d

轴的受力简图:

978-7-111-43425-2-Chapter06-26.jpg

图6-4 例6-3图

解:(1)作轴的受力简图,如图6-4b所示。

(2)由刚度条件确定轴的直径。

978-7-111-43425-2-Chapter06-27.jpg

可得 978-7-111-43425-2-Chapter06-28.jpg

例6-4 若弹簧的平均半径R=80mm,簧丝直径d=20mm,圈数n=7,材料的切变模量G=80GPa。在图6-5所示载荷作用下,若CDE梁的端点E的位移等于弹簧伸长量的1.5倍,试求CDE梁的抗弯刚度EI

978-7-111-43425-2-Chapter06-29.jpg

图6-5 例6-4图

解:(1)求支反力。

考虑ABC梁段的平衡可得 FBy=180N

考虑CDE梁段的平衡可得 FDy=440N

考虑整个梁的平衡可得 FCy=310N

(2)求弹簧的伸长量。

弹簧所受到的力为

F=FCy=310N

978-7-111-43425-2-Chapter06-30.jpg

(3)求E点的位移。

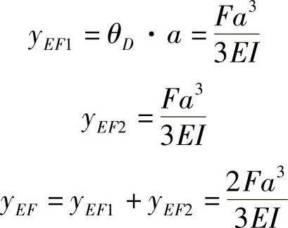
考虑CDE梁段(记F=220N,a=450mm)

1)先将C点看做固定铰支座,由叠加法

978-7-111-43425-2-Chapter06-31.jpg

2)由弹簧伸长引起的E点位移

y=δ

3)E点的总位移

978-7-111-43425-2-Chapter06-32.jpg

(4)求CDE梁段的抗弯刚度。

根据题意 yE=1.5δ (2)

由式(1)、式(2)求得

978-7-111-43425-2-Chapter06-33.jpg