11.1.5 交变载荷作用下构件的疲劳强度计算
工程中常用安全因数法对构件进行疲劳强度计算。
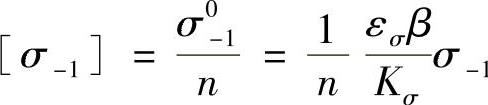
(1)对称循环下构件的疲劳强度条件
对称循环下构件的疲劳许用应力为

若构件的规定安全因数为n,实际安全因数为nσ,则强度条件为实际安全因数不小于规定的安全因数,即由σmax≤[σ-1]可得

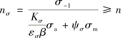
(2)非对称循环下构件的疲劳强度条件

式中,ψσ为敏感因数,和材料性质有关。
(3)弯扭组合疲劳强度条件

式中,nστ为弯曲与扭转组合下构件的实际安全因数;nσ为单一弯曲对称循环下的安全因数;nτ为单一扭转对称循环下的安全因数。