4.3  例题解析

4.3 例题解析

例4-1 写出如图4-1a所示梁的剪力方程和弯矩方程,并作梁的剪力图和弯矩图,求最大剪力和最大弯矩。

978-7-111-43425-2-Chapter04-9.jpg

图4-1 例4-1图

解:(1)求支反力

ΣMB=0,16kN·m+(2kN/m)×8m×4m-FRA×10m-3kN×2m-(2kN/m)×2m×1m=0,得FRA=7kN

ΣFy=0,FRA+FRB-3kN-(2kN/m)×10m=0,得FRB=16kN

(2)求剪力方程和弯矩方程

选取坐标系如图4-1b所示。

AC段:

FSx)=7(kN)(0<x<2)

Mx)=7x(kN·m)(0≤x<2)

CB段:

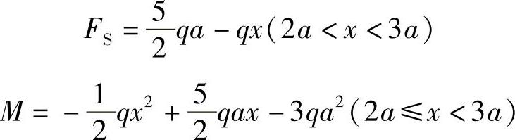
FSx)=7-2(x-2)=11-2x(kN)(2<x<10)

978-7-111-43425-2-Chapter04-10.jpg

BD段:

FSx)=27-2x(kN)(10<x<12)

Mx)=-x2+27x-180(kN·m)(10≤x<12)

(3)作剪力图和弯矩图

剪力图与弯矩图如图4-1c所示。

(4)最大剪力和最大弯矩

|FS|max=9kN,|M|max=14kN·m

例4-2 一端外伸的梁的尺寸及所受载荷如图4-2a所示,qa均已知,试作梁的剪力图和弯矩图。

解:(1)求支反力

MA=0,978-7-111-43425-2-Chapter04-11.jpg978-7-111-43425-2-Chapter04-12.jpg,得978-7-111-43425-2-Chapter04-13.jpg

ΣFy=0,FRA+FRB-qa-qa=0,得978-7-111-43425-2-Chapter04-14.jpg

(2)求剪力方程和弯矩方程选取坐标系如图4-2b所示。

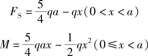
CA段:

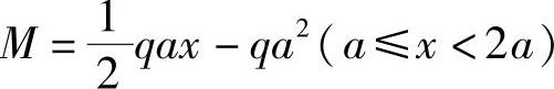
FS=-qa(0<xa

M=-qax(0≤xa

AD段:

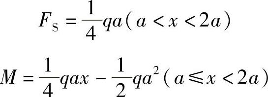
978-7-111-43425-2-Chapter04-15.jpg

978-7-111-43425-2-Chapter04-16.jpg

图4-2 例4-2图

978-7-111-43425-2-Chapter04-17.jpg

DB段:

978-7-111-43425-2-Chapter04-18.jpg

(3)作剪力图和弯矩图

剪力图与弯矩图如图4-2c所示。

例4-3 画出如图4-3a所示结构的剪力图和弯矩图。

解:(1)求支反力

ΣMA=0,978-7-111-43425-2-Chapter04-19.jpg,得978-7-111-43425-2-Chapter04-20.jpgΣFy=0,FRA+FRB-qa=0,得978-7-111-43425-2-Chapter04-21.jpg

(2)求剪力方程和弯矩方程选取坐标系如图4-2b所示。

AC段:

978-7-111-43425-2-Chapter04-22.jpg

CB段:

978-7-111-43425-2-Chapter04-23.jpg

(3)作剪力图和弯矩图

剪力图与弯矩图如图4-3c所示。

例4-4 外伸梁及其所受载荷如图4-4a所示,试作梁的剪力图和弯矩图。

解:利用简易法作梁的剪力图和弯矩图如图4-4b所示。其中,x=1m处,Mmax=20.5kN·m。

例4-5 求如图4-5a所示刚架的最大剪力和最大弯矩。

978-7-111-43425-2-Chapter04-24.jpg

图4-3 例4-3图

978-7-111-43425-2-Chapter04-25.jpg

图4-4 例4-4图

978-7-111-43425-2-Chapter04-26.jpg

图4-5 例4-5图

解:(1)首先求支座反力,刚架的受力简图如图4-5b所示,力F分解为铅垂力F1和水平力F2,根据平衡方程

ΣFx=0,978-7-111-43425-2-Chapter04-27.jpg

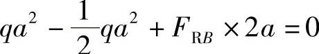
ΣMA=0,978-7-111-43425-2-Chapter04-28.jpg,得978-7-111-43425-2-Chapter04-29.jpg

ΣFy=0,978-7-111-43425-2-Chapter04-30.jpg,得FRVA=0

(2)用截面法求刚架的内力,列出剪力方程和弯矩方程。在AC段内,设距A端为x的任一截面的剪力和弯矩分别为FSx)和Mx),则

978-7-111-43425-2-Chapter04-31.jpg

978-7-111-43425-2-Chapter04-32.jpg

同理,对BC段,坐标原点取在B点,则距B点为x的任一截面的剪力和弯矩分别为FSx)和Mx),则

978-7-111-43425-2-Chapter04-33.jpg

978-7-111-43425-2-Chapter04-34.jpg

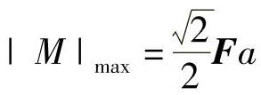
由此得到,最大剪力和最大弯矩分别为

978-7-111-43425-2-Chapter04-35.jpg978-7-111-43425-2-Chapter04-36.jpg

例4-6 作图4-6a中所示的梁的剪力图和弯矩图。

解:(1)作梁的受力图,如图4-6b所示。

978-7-111-43425-2-Chapter04-37.jpg

图4-6 例4-6图

由平衡方程

ΣMB=0,978-7-111-43425-2-Chapter04-38.jpg,得978-7-111-43425-2-Chapter04-39.jpg

ΣFy=0,FRC+FRB-qa-F=0,得978-7-111-43425-2-Chapter04-40.jpg

(2)作梁的剪力图和弯矩图如图4-6c所示。

例4-7 作图4-7a中所示的刚架的内力图。

解:(1)作刚架的受力图,如图4-7b所示。

由平衡方程

ΣME=0,978-7-111-43425-2-Chapter04-41.jpg,得FAy=9kN

ΣFx=0,得FEx=2kN

ΣFy=0,FAy+FEy-(5kN/m)×4m=0,得FEy=11kN

(2)作刚架的内力图分别如图4-7c、d、e所示。

例4-8 用截面法求如图4-8a所示悬臂梁C截面上的内力。

解:(1)沿C截面将梁截开,保留左段,受力图如图4-8b所示,C截面内力为剪力FSC和弯矩MC

978-7-111-43425-2-Chapter04-42.jpg

图4-7 例4-7图

978-7-111-43425-2-Chapter04-43.jpg

图4-8 例4-8图

(2)列静力平衡方程求C截面内力。

由平衡方程

ΣFy=0,F1-F2+F3-q×2m-FSC=0,得FSC=-2kN

ΣMC=0,-F1×6m+F2×5m-M1-F3×3m+M2+q×2m×1m+MC=0,得MC=2kN·m得