8.3  例题解析

8.3 例题解析

例8-1 简支折线梁受力如图8-2a所示,截面为25cm×25cm的正方形截面,试求此梁的最大正应力。

978-7-111-43425-2-Chapter08-13.jpg

图8-2 例8-1图

解:(1)外力分析,判变形。由对称性可知,AC两处的约束力为F/2,主动力、约束力均在纵向对称面内,简支折线梁将发生压弯组合变形。

(2)内力分析,判危险面。从下端无限靠近B处沿横截面将简支折线梁截开,取右边部分为研究对象,受力如图8-2b所示。梁上各横截面上轴力为常数,B横截面具有最大弯矩,故B横截面为压弯组合变形危险面。

978-7-111-43425-2-Chapter08-14.jpg

如图8-2c所示。

(3)应力分析,判危险点,如图8-2b所示。由于截面为矩形,而D1D2是压弯组合变形的压缩边缘,故危险面上D1D2边缘处出现最大压应力。且

978-7-111-43425-2-Chapter08-15.jpg

例8-2 No.25普通热轧工字钢制成的立柱受力如图8-3所示。试求图示横截面上abcd四处的正应力。

解:查相应的表得

978-7-111-43425-2-Chapter08-16.jpg

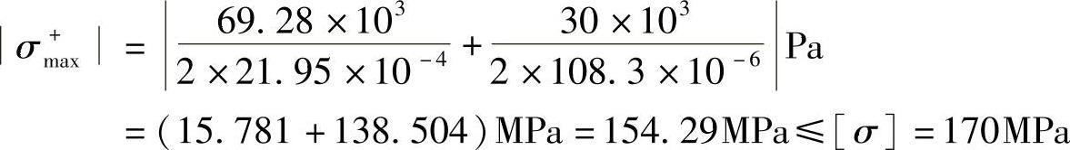
例8-3 起重构架如图8-4a所示,梁ACDHT两根槽钢组成。已知a=3m,b=1m,F=30kN。梁材料的许用应力[σ]=170MPa。试选择槽钢的型号。

解:(1)外力分析:梁的计算简图如图8-4b所示,外力在纵向对称面内与轴斜交,故梁AC段发生拉伸与弯曲的组合变形。对A取矩,则BC杆所受压力为

978-7-111-43425-2-Chapter08-17.jpg

978-7-111-43425-2-Chapter08-18.jpg

图8-3 例8-2图

(2)内力分析:轴力图、弯矩图如图8-4c、d所示。C左截面轴力和弯矩同时达到最大,是危险面。

FN=69.28kN,|M|max=30kN·m

(3)应力分析,判危险点:由于发生的是拉弯组合变形,加之截面有两个对称轴,危险面的上边缘具有最大拉应力,比下边缘的最大压应力的绝对值大,上边缘上各点正应力最大。

978-7-111-43425-2-Chapter08-19.jpg

图8-4 例8-3图

(4)强度计算,选择槽钢的型号:

978-7-111-43425-2-Chapter08-20.jpg

1)忽略轴力项的正应力,仅由弯曲项选择槽钢的型号:

978-7-111-43425-2-Chapter08-21.jpg

查表可知A=21.95cm2Wz=108.3cm3

2)对所选槽钢进行校核:

978-7-111-43425-2-Chapter08-22.jpg

故所选择16槽钢能满足强度要求。

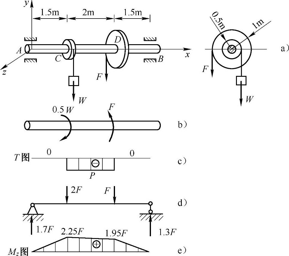
例8-4 如图8-5a所示,轴上安装两个圆轮,FW分别作用在两轮上,并沿铅垂方向。轮轴处于平衡状态。若轴的直径d=110mm,许用应力[σ]=60MPa。试按第四强度理论确定许用载荷F

978-7-111-43425-2-Chapter08-23.jpg

图8-5 例8-4图

解:(1)外力分析,判变形。

FW向轴线平移,必附加引起扭转的力偶,受力如图8-5b所示;平移到轴线的外力使轴在铅垂平面内上下弯曲。外力沿竖直方向与轴异面垂直,使轴发生扭转与弯曲的组合变形。

1)由于轴平衡,故

ΣMxF)=0,-F×1m+W×0.5m=0,W=2F

2)将轴进行简化,计算简图如图8-5d所示,求铅垂面内梁的约束力

978-7-111-43425-2-Chapter08-24.jpg

(2)内力分析,判危险面。

扭矩图、弯矩图如图8-5c、e所示,C的右截面是危险面:

Mz,max=2.25PT=F

(3)应力分析。

Mz使C横截面上下边缘点弯曲正应力最大,同时又有最大的扭转切应力,故C的右截面上下边缘点是强度理论的危险点。

(4)按第四强度理论求许用载荷。

978-7-111-43425-2-Chapter08-25.jpg

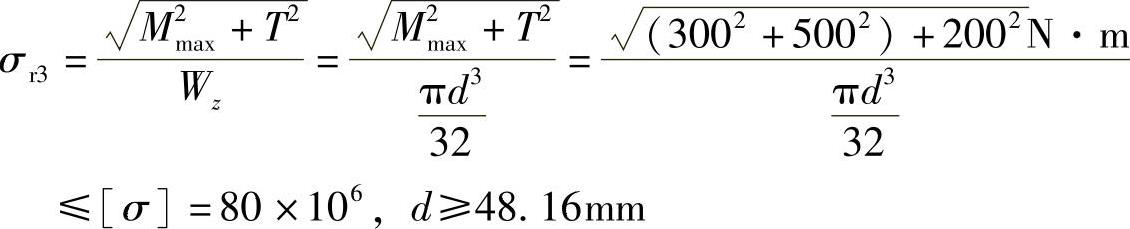
例8-5 传动轴如图8-6a所示,A轮受铅垂力F1作用,直径D1=200mm,F1=2kN;B轮受水平拉力F2作用,D2=100mm。轴材料的许用应力[σ]=80MPa。已知轮轴处于平衡状态。(1)画出轴的扭矩图和弯矩图。(2)试按第三强度理论设计轴的直径,单位为mm。

解:(1)外力分析,判变形。

与轴异面垂直的外力F1F2向轴线平移,必附加引起扭转的力偶978-7-111-43425-2-Chapter08-26.jpg978-7-111-43425-2-Chapter08-27.jpg;力平移后使轴发生方位难以确定的平面弯曲,总之轴发生弯扭组合变形。

(2)内力分析,判危险面。

将轴进行简化,计算简图如图8-6b、d、f所示,扭矩图、弯矩图如图8-6c、e、g所示,B的左截面合成的弯矩最大,是危险面。

978-7-111-43425-2-Chapter08-28.jpg

(3)按第三强度理论设计轴的直径d

978-7-111-43425-2-Chapter08-29.jpg

978-7-111-43425-2-Chapter08-30.jpg

图8-6 例8-5图

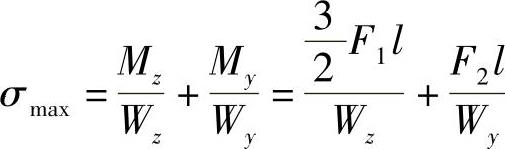
例8-6 14工字钢悬臂梁受力情况如图8-7所示。已知l=0.8m,F1=2.5kN,F2=1.0kN,试求危险截面上的最大正应力。

978-7-111-43425-2-Chapter08-31.jpg

图8-7 例8-6图

解:危险截面在固定端,且

978-7-111-43425-2-Chapter08-32.jpg

978-7-111-43425-2-Chapter08-33.jpg

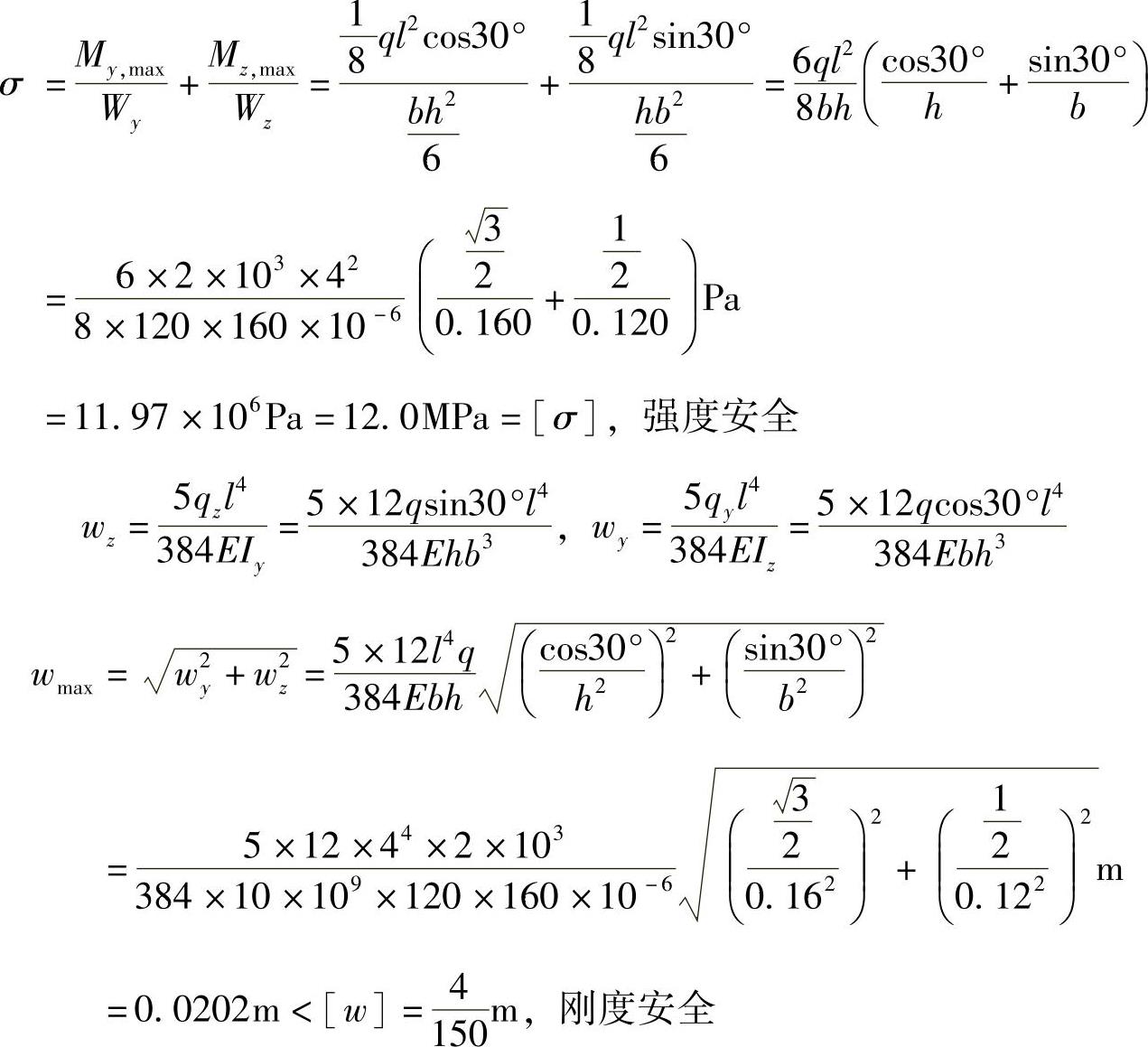
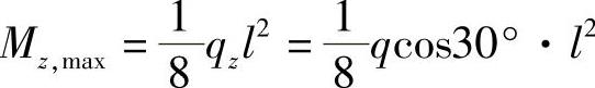
例8-7 受集度为q的均布载荷作用的矩形截面简支梁,其载荷作用面与梁的纵向对称面间的夹角为α=30°,如图8-8所示。已知该梁材料的弹性模量E=10GPa;梁的尺寸为l=4m,h=160mm,b=120mm;许用应力[σ]=12MPa;许可挠度978-7-111-43425-2-Chapter08-34.jpg。试校核梁的强度和刚度。

解:978-7-111-43425-2-Chapter08-35.jpg

978-7-111-43425-2-Chapter08-36.jpg

978-7-111-43425-2-Chapter08-37.jpg

图8-8 例8-7图

978-7-111-43425-2-Chapter08-38.jpg

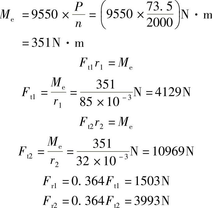
例8-8 图8-9a所示的齿轮传动装置中,Ⅱ轴的受力情况及尺寸如图8-9b所示。轴上大齿轮1的半径r1=85mm,受切周向力Ft1和径向力Ft1作用,且Fr1=0.364Ft1;小齿轮2的半径r2=32mm,受切周向力Ft2和径向力Fr2作用,且Fr2=0.364Ft2。已知轴工作时传递的功率P=73.5kW,转速n=2000r/min,轴的材料为合金钢,其许用应力[σ]=150MPa。试按第三强度理论计算轴的直径。

解:Ⅱ轴的受力如图8-9c所示。

978-7-111-43425-2-Chapter08-39.jpg

由ΣMz=0,得

-FAy×280mm+Fr1×245mm+Fr2×65mm=0

-FAy×280mm+1503N×245mm+3993N×65mm=0

FAy=2242N

由 ΣFy=0,得

FAy-Fr1-Fr2+FBy=0

FBy=3254N

由ΣMy=0,得

FAz×280mm-Ft1×245mm+Ft2×65mm=0

FAz=1067N

由ΣFz=0,得

FAz-Ft1+Ft2+FBz=0

FBz=-7907N

MCy=FAz×(35×10-3m)=37.3N·m

MCz=FAy×(35×10-3m)=78.5N·m

MDy=FBz×(65×10-3m)=514N·m

MDz=FBy×(65×10-3m)=212N·m

CD段扭矩T=:Me=351N·m

作扭矩、弯矩图,如图8-9d所示危险截面为D左截面,则

978-7-111-43425-2-Chapter08-40.jpg

978-7-111-43425-2-Chapter08-41.jpg

978-7-111-43425-2-Chapter08-42.jpg

图8-9 例8-8图

978-7-111-43425-2-Chapter08-43.jpg

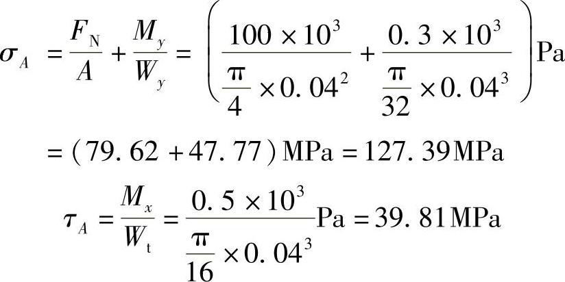
例8-9 直径d=40mm的实心钢圆轴,在某一横截面上的内力分量如图8-10所示。已知此轴的许用应力[σ]=150MPa。试按第四强度理论校核轴的强度。

解:(1)内力分析。

轴向拉伸使横截面有轴力FN,而圆轴发生上下弯曲才会产生前后纵向对称面的弯矩My,而圆轴发生扭转变形才会产生力偶作用面与横截面平行的扭矩Mx。故此圆轴发生拉弯扭组合变形。

978-7-111-43425-2-Chapter08-44.jpg

图8-10 例8-9图

(2)应力分析。

My使圆轴上下弯曲,AB两点分别拥有最大的拉、压弯曲正应力;Mx使圆轴横截面上距圆心最远的周周上各点具有最大的扭转切应力;FN使圆轴横截面上各点具有大小相同的拉应力。故A是拉弯扭组合变形的强度理论危险点。且

978-7-111-43425-2-Chapter08-45.jpg

(3)按第四强度理论校核轴的强度。

978-7-111-43425-2-Chapter08-46.jpg

故强度足够。