6.1.3 挠曲线近似微分方程及其积分
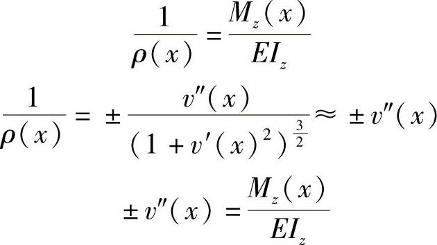
(1)挠曲线近似微分方程

其中,正负号取决于弯矩正负号的规定以及坐标系的选择。
(2)用积分法求梁的变形
将挠曲线近似微分方程积分两次,得转角方程和挠曲线方程分别为

式中,C与D为积分常数,可利用梁的支座约束条件和挠曲线及转角方程必须连续的条件确定。这些条件称为确定积分常数的边界条件。
积分法是分析梁位移的基本方法。在梁的弯矩方程或抗弯刚度不连续处,应分段建立挠曲线近似微分方程,并分段积分(如分n段,则积分常数共有2n个)。在分段处,挠曲线应光滑(转角连续)、连续,即分段截面两侧具有相同的挠度与转角。优点:使用范围广,直接求出较精确的结果;缺点:计算较繁。