12.3  例题解析

12.3 例题解析

例12-1 计算图12-1所示梁或结构内的应变能。略去剪切的影响,EI为已知。对于只受拉伸(或压缩)的杆件,考虑拉伸(压缩)时的应变能。

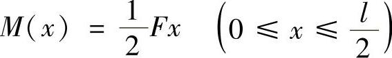
解:a)梁的弯矩方程为

978-7-111-43425-2-Chapter12-20.jpg

图12-1 例12-1图

978-7-111-43425-2-Chapter12-21.jpg

利用对称性,得梁的弯曲应变能为

978-7-111-43425-2-Chapter12-22.jpg

b)梁的弯矩方程为

978-7-111-43425-2-Chapter12-23.jpg

梁的应变能为

978-7-111-43425-2-Chapter12-24.jpg

c)刚架的弯矩方程为

978-7-111-43425-2-Chapter12-25.jpg

刚架的应变能为

978-7-111-43425-2-Chapter12-26.jpg

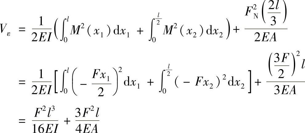
d)结构中梁的弯矩方程为

978-7-111-43425-2-Chapter12-27.jpg

拉杆的轴力为 978-7-111-43425-2-Chapter12-28.jpg

结构的应变能等于梁的弯曲应变能与拉杆的拉伸应变能的和,即

978-7-111-43425-2-Chapter12-29.jpg

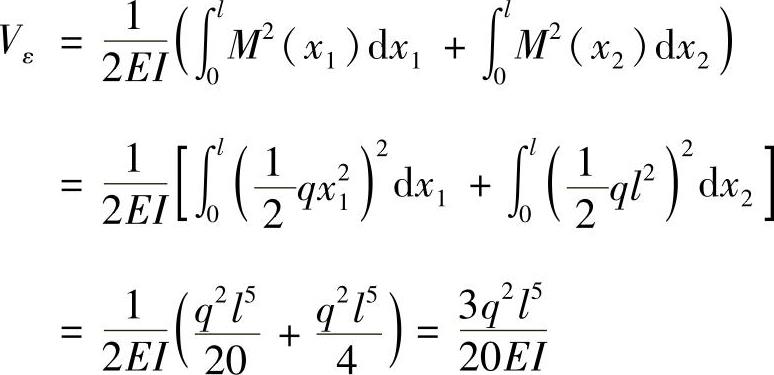
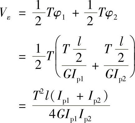
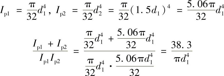
例12-2 试求图12-2所示受扭圆轴内的应变能(d2=1.5d1)。

解:应变能为

978-7-111-43425-2-Chapter12-30.jpg

978-7-111-43425-2-Chapter12-31.jpg

图12-2 例12-2图

其中,978-7-111-43425-2-Chapter12-32.jpg

因此 978-7-111-43425-2-Chapter12-33.jpg

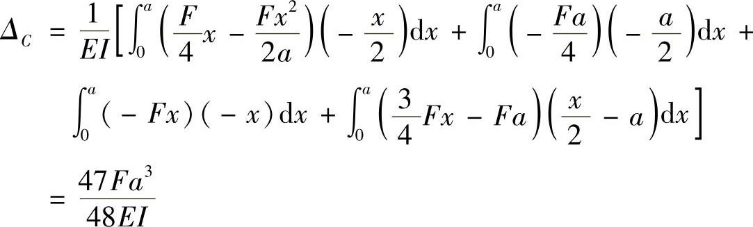
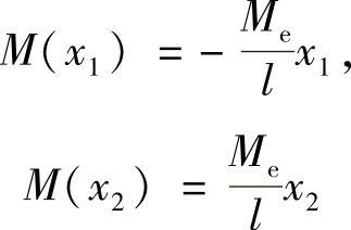
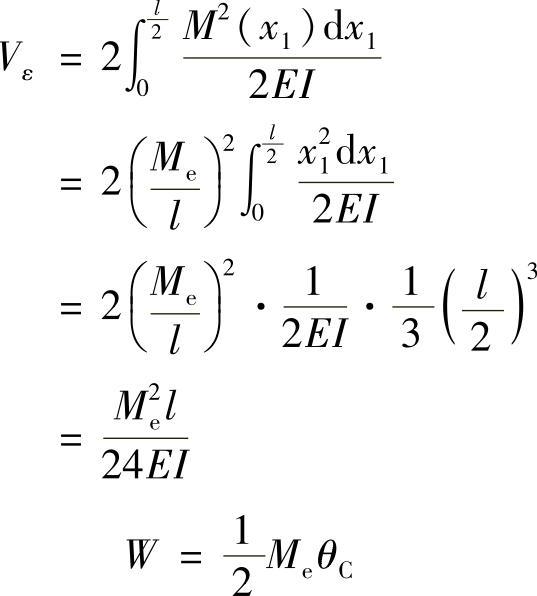
例12-3 应用能量法计算图12-3a所示梁中点的转角。

解:(1)外力分析,如图12-3b所示。

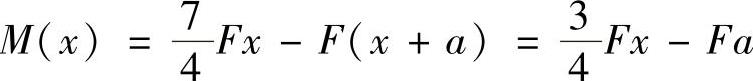
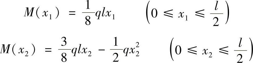
(2)内力分析,有

978-7-111-43425-2-Chapter12-34.jpg

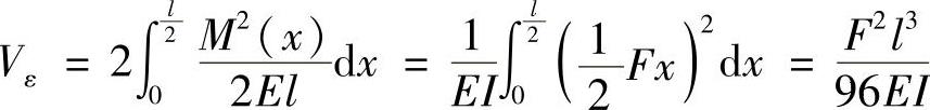
(3)应变能和外力功计算,即

978-7-111-43425-2-Chapter12-35.jpg

978-7-111-43425-2-Chapter12-36.jpg

图12-3 例12-3图

(4)应用能量法计算转角,由

W=Vε

978-7-111-43425-2-Chapter12-37.jpg

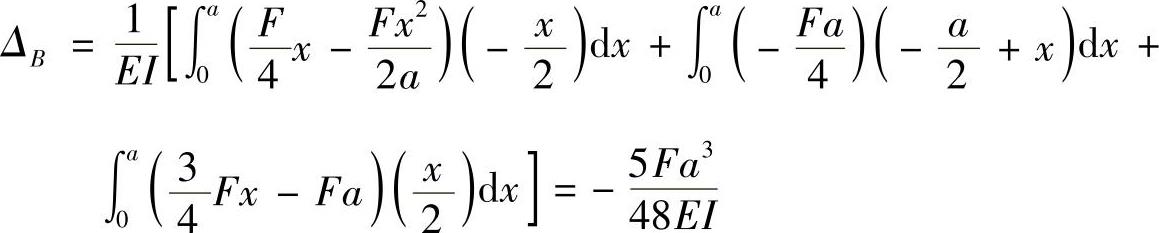
例12-4 试用卡氏定理求图12-4所示各刚架截面A的位移和截面AB的转角。略去剪力FS和轴力FN的影响,EI为已知。

978-7-111-43425-2-Chapter12-38.jpg

图12-4 例12-4图

解:12-4a:

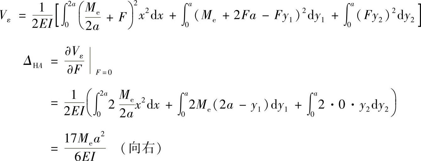
(1)求截面A的水平位移ΔHA

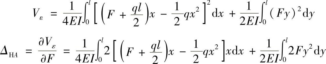
截面A处添加一水平集中载荷F,如图12-5a所示,刚架的应变能为

978-7-111-43425-2-Chapter12-39.jpg

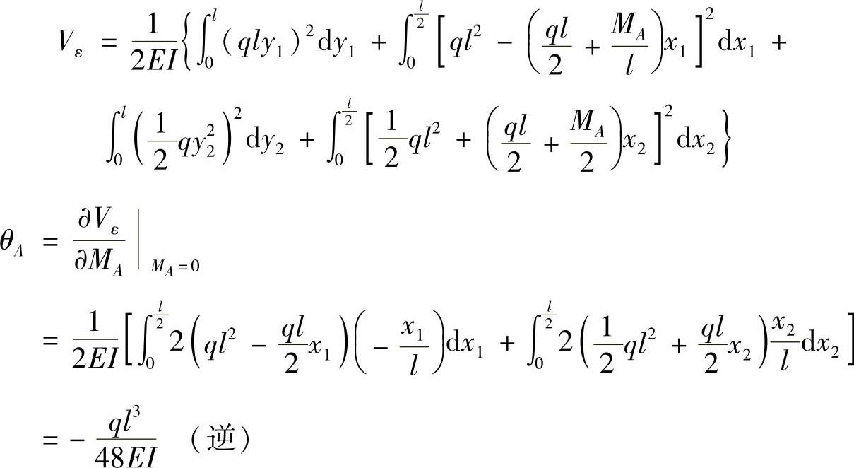
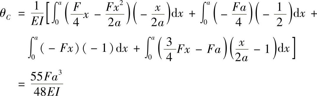
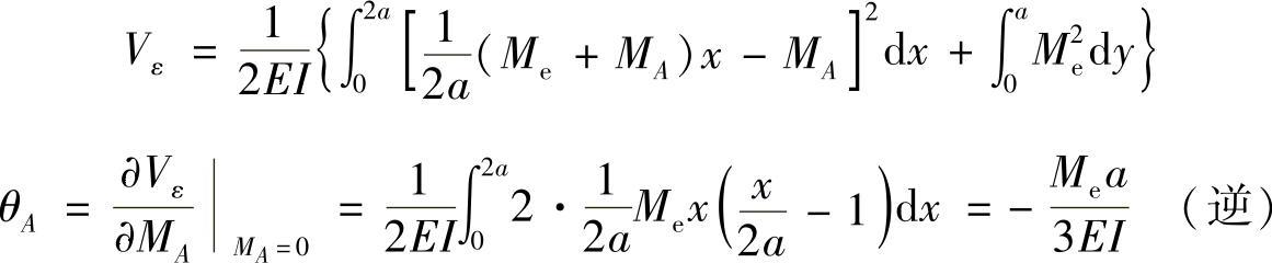
(2)求截面A的转角θA

截面A处添加一集中力偶矩MA,如图12-5b所示,刚架的应变能为

978-7-111-43425-2-Chapter12-40.jpg

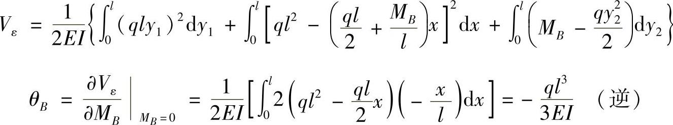
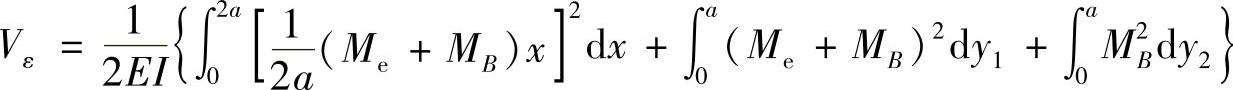
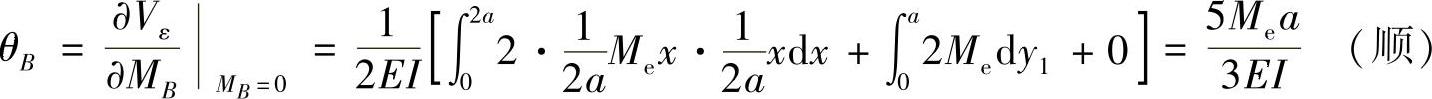
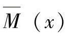
(3)求截面B的转角θB

截面B处添加力偶矩MB,如图12-5c所示,则刚架的应变能为

978-7-111-43425-2-Chapter12-41.jpg

978-7-111-43425-2-Chapter12-42.jpg

978-7-111-43425-2-Chapter12-43.jpg

图 12-5

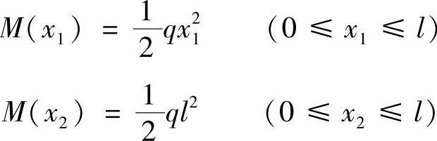
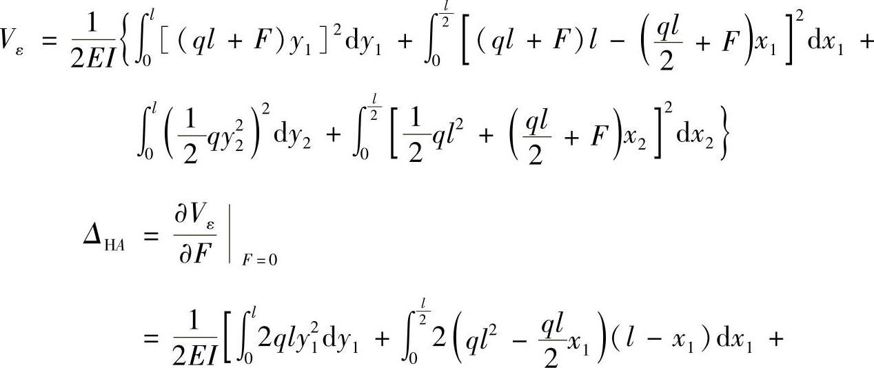
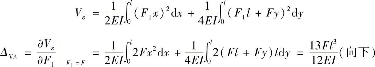
图12-4b:

(1)求截面A的铅垂位移ΔVA

截面A处添加一铅垂集中力F(图12-6a),刚架的应变能为

978-7-111-43425-2-Chapter12-44.jpg

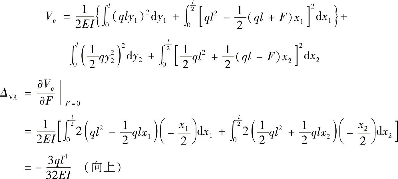
(2)求截面A的水平位移ΔHA

截面A处添加一水平集中力F(图12-6b),刚架的应变能为

978-7-111-43425-2-Chapter12-45.jpg

978-7-111-43425-2-Chapter12-46.jpg

(3)求截面A的转角θA

在截面A处添加一集中力偶MA(图12-6c),刚架的应变能为

978-7-111-43425-2-Chapter12-47.jpg

978-7-111-43425-2-Chapter12-48.jpg

图 12-6

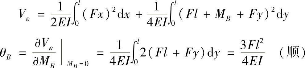
(4)求截面B的转角θB

截面B处添加一集中力偶MB(图12-6d),刚架的应变能为

978-7-111-43425-2-Chapter12-49.jpg

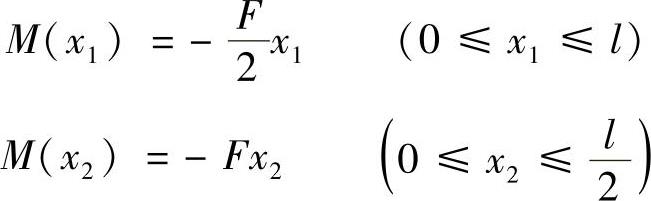
图12-4c:

(1)截面A处的铅垂位移ΔVA

令作用于A处的集中力F=F1,如图12-7a所示,则刚架的应变能为

978-7-111-43425-2-Chapter12-50.jpg

(2)求截面A处的水平位移ΔHA

令作用于截面B处的集中力F=F2,如图12-7b所示,则刚架的应变能为

978-7-111-43425-2-Chapter12-51.jpg

(3)求截面A的转角θA

在截面A处添加一力偶矩MA,如图12-7c所示,则刚架的应变能为

978-7-111-43425-2-Chapter12-52.jpg

(4)求截面B的转角θB

在截面B处添加一力偶矩MB,如图12-7d所示,则刚架的应变能为

978-7-111-43425-2-Chapter12-53.jpg

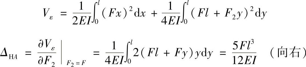
图12-4d:

(1)求截面A处的水平位移ΔHA

受力分析如图12-8a所示,则刚架的应变能为

978-7-111-43425-2-Chapter12-54.jpg

图 12-7

978-7-111-43425-2-Chapter12-55.jpg

图 12-8

978-7-111-43425-2-Chapter12-56.jpg

978-7-111-43425-2-Chapter12-57.jpg

(2)求截面A的转角θA

在截面A处添加一力偶矩MA,如图12-8b所示,则刚架的应变能为

978-7-111-43425-2-Chapter12-58.jpg

(3)求截面B的转角θB

因为刚架的AB段未承受横向力,所以AB段未发生弯曲变形,转角θB等于转角θA

例12-5 已知图12-9a所示刚架各部分抗弯刚度均为EI,用单位载荷法计算B点水平位移、C点铅垂位移和C点转角。不计轴力对刚架变形的影响。

978-7-111-43425-2-Chapter12-59.jpg

图12-9 例12-5图

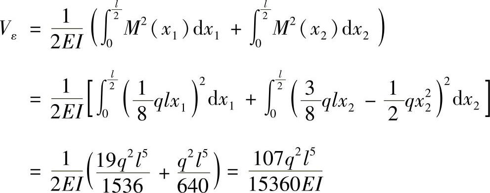
解:(1)写出各段弯矩方程。

AD段,以A为原点,则

978-7-111-43425-2-Chapter12-60.jpg

DE段,以D为原点,则

978-7-111-43425-2-Chapter12-61.jpg

CB段,以C为原点,则

Mx=-Fx

BE段,以B为原点,则

978-7-111-43425-2-Chapter12-62.jpg

(2)计算B点水平位移ΔB

B点加水平单位力,如图12-9b所示,则各段的978-7-111-43425-2-Chapter12-63.jpg

AD段,以A为原点,则 978-7-111-43425-2-Chapter12-64.jpg

DE段,以D为原点,则 978-7-111-43425-2-Chapter12-65.jpg

CB段,以C为原点,则 978-7-111-43425-2-Chapter12-66.jpg

BE段,以B为原点,则 978-7-111-43425-2-Chapter12-67.jpg

应用单位载荷法公式,得

978-7-111-43425-2-Chapter12-68.jpg

其中,负号表示真实位移与所加单位力方向相反,即实际位移方向向左。

(3)计算C点铅垂位移ΔC

在截面C加铅垂单位力,如图12-9c所示,则各段的978-7-111-43425-2-Chapter12-69.jpg

AD段,以A为原点,则 978-7-111-43425-2-Chapter12-70.jpg

DE段,以D为原点,则 978-7-111-43425-2-Chapter12-71.jpg

CB段,以C为原点,则 978-7-111-43425-2-Chapter12-72.jpg

BE段,以B为原点,则 978-7-111-43425-2-Chapter12-73.jpg

由此得

978-7-111-43425-2-Chapter12-74.jpg

(4)计算C点转角θC

C截面加单位力偶,如图12-9d所示,则各段的978-7-111-43425-2-Chapter12-75.jpg

AD段,以A为原点,则 978-7-111-43425-2-Chapter12-76.jpg

DE段,以D为原点,则 978-7-111-43425-2-Chapter12-77.jpg

CB段,以C为原点,则 978-7-111-43425-2-Chapter12-78.jpg

BE段,以B为原点,则 978-7-111-43425-2-Chapter12-79.jpg

由此可得

978-7-111-43425-2-Chapter12-80.jpg

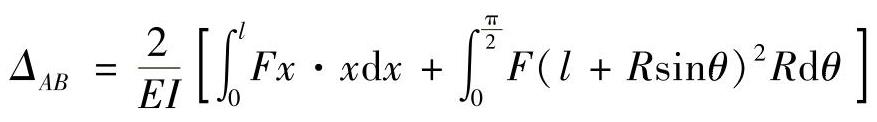
例12-6 用单位载荷法求图12-10a所示曲杆AB两点间的相对位移ΔAB。忽略轴力及剪力对曲杆变形的影响。

978-7-111-43425-2-Chapter12-81.jpg

图12-10 例12-6图

解:(1)列弯矩方程。

AD段,以Ax轴的坐标原点,则

Mx=Fx

DC段,取极坐标如图12-10a所示,则

978-7-111-43425-2-Chapter12-82.jpg

(2)计算AB两点间的相对位移ΔAB

AB两点加单位力,如图12-10b所示则978-7-111-43425-2-Chapter12-83.jpg

AD段: 978-7-111-43425-2-Chapter12-84.jpg

DC段: 978-7-111-43425-2-Chapter12-85.jpg

于是得

978-7-111-43425-2-Chapter12-86.jpg

978-7-111-43425-2-Chapter12-87.jpg

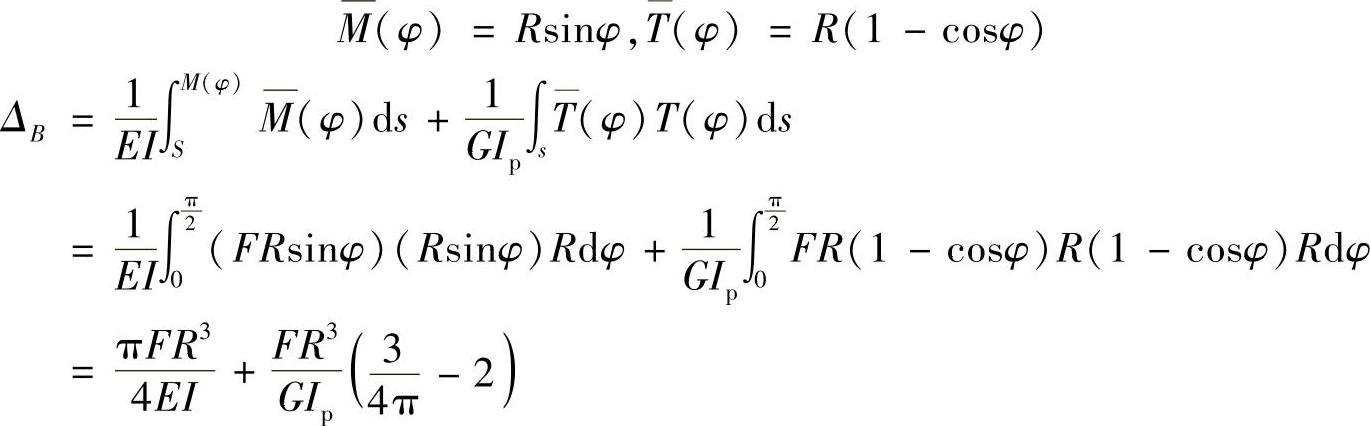
例12-7 图12-11a所示为一水平放置的四分之一小曲率圆弧形曲杆。试计算在铅垂方向力F作用下,自由端B的铅垂位移。杆的EIGIp均为已知。(不计剪力影响)

978-7-111-43425-2-Chapter12-88.jpg

图12-11 例12-7图

解:(1)写出弯矩方程和扭矩方程。

取图12-11b所示极坐标系,则有

弯矩方程 978-7-111-43425-2-Chapter12-89.jpg

扭矩方程 978-7-111-43425-2-Chapter12-90.jpg

(2)计算B端铅垂位移。

B处铅垂方向加单位力,如图12-11c所示,则

978-7-111-43425-2-Chapter12-91.jpg

例12-8 如图12-12所示长为l、直径为d的圆杆受一对横向压力F作用,求此杆长度的伸长量。已知Eμ

解:由位移互等定理知:杆①的伸长量等于杆②直径的减少量。

978-7-111-43425-2-Chapter12-92.jpg

例12-9 已知简支梁在均布载荷q作用下,梁的中点挠度978-7-111-43425-2-Chapter12-93.jpg(图12-13b)。求梁在中点集中力F作用下(图12-13a),梁的挠曲线与梁变形前的轴线所围成的面积ω

解:根据功的互等定理,有

978-7-111-43425-2-Chapter12-94.jpg

图12-12 例12-8图

978-7-111-43425-2-Chapter12-95.jpg

图12-13 例12-9图

978-7-111-43425-2-Chapter12-96.jpg