9.4  习题

9.4 习题

习题9-1 试求图9-10所示矩形截面压杆的临界力。已知杆的长度l=2.5m,材料的弹性模量E=200GPa,比例极限σp=200MPa,屈服极限σs=240MPa,直线公式σcr=304-1.12λ(MPa)。(参考答案:Fcr=344kN)

习题9-2 图9-11所示为约束情况不同的圆截面细长杆,各杆直径和材料相同,试问哪个杆的临界力最大?(参考答案:图9-11d所示杆的临界力最大)

978-7-111-43425-2-Chapter09-59.jpg

图9-10 习题9-1图

978-7-111-43425-2-Chapter09-60.jpg

图9-11 习题9-2图

习题9-3 图9-12a、b所示为约束情况不同的两个矩形截面细长杆,长度和材料相同,且有h1=2b1h2=2b2。为使两个压杆的临界力相等,b2b1之比应为多少?(参考答案:978-7-111-43425-2-Chapter09-61.jpg

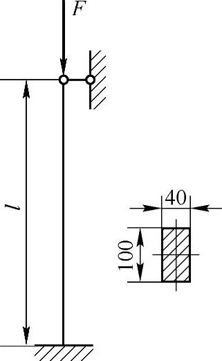
习题9-4 图9-13所示为矩形截面压杆,在xOz平面内为两端固定,在xOy平面内为一端固定,一端自由。已知材料的弹性模量E=200GPa,直线公式σcr=304-1.12λ(MPa)。试求压杆的临界应力σcr。(参考答案:σcr=148.0MPa)

978-7-111-43425-2-Chapter09-62.jpg

图9-12 习题9-3图

978-7-111-43425-2-Chapter09-63.jpg

图9-13 习题9-4图

习题9-5 图9-14所示结构,杆AB为刚体,杆CD的直径d=5cm,材料的弹性模量E=200GPa,比例极限σp=200MPa,屈服极限σs=240MPa,直线公式σcr=304-1.12λ(MPa)。试求使结构破坏的最小载荷F。(参考答案:978-7-111-43425-2-Chapter09-64.jpg

习题9-6 如图9-15所示,1,2两杆均为圆截面,直径相同,d=40mm,弹性模量E=200GPa,材料的许用应力[σ]=120MPa,λp=90,规定的稳定安全因数nst=2,试求许用载荷[F]。(参考答案:[F]=71.6kN)

978-7-111-43425-2-Chapter09-65.jpg

图9-14 习题9-5图

978-7-111-43425-2-Chapter09-66.jpg

图9-15 习题9-6图

习题9-7 图9-16所示结构,圆杆CD的直径d=50mm,E=200GPa,λp=100,试求该结构的临界载荷Fcr。(参考答案:Fcr=123.6kN)

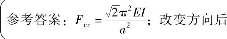
习题9-8 图9-17所示正方形桁架,各杆直径均为d=40mm,边杆长a=1m,各杆材料均为A3钢,试求此结构的临界载荷Fcr。若力的方向改为向外,试问许用载荷是否改变?若有改变,则变为多少?978-7-111-43425-2-Chapter09-67.jpg978-7-111-43425-2-Chapter09-68.jpg

978-7-111-43425-2-Chapter09-69.jpg

图9-16 习题9-7图

978-7-111-43425-2-Chapter09-70.jpg

图9-17 习题9-8图

习题9-9 图9-18所示托架,CD杆为14工字钢,AB为圆管,外径D=50mm,内径d=40mm,两杆材料均为A3钢,比例极限σp=200MPa,许用应力[σ]=160MPa,弹性模量E=200GPa,AB杆规定的稳定安全因数nst=2,试求此托架所能承受的最大载荷F。(参考答案:[F]=22.32kN)

978-7-111-43425-2-Chapter09-71.jpg

图9-18 习题9-9图