8.4  习题

8.4 习题

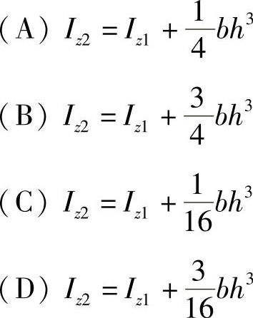
习题8-1 已知图8-11所示矩形截面中Iz1bh,试求Iz2。现有四种答案,试判断哪一种是正确的。( )

978-7-111-43425-2-Chapter08-47.jpg

978-7-111-43425-2-Chapter08-48.jpg

图8-11 习题8-1图

(参考答案:(D))

习题8-2 图8-12所示T形截面中z轴通过组合图形的形心C,两个矩形分别用Ⅰ和Ⅱ表示。试判断下列关系式中哪一个是正确的。( )

(A)Sz(Ⅰ)>Sz(Ⅱ)

(B)Sz(Ⅰ)=Sz(Ⅱ)

(C)Sz(Ⅰ)=-Sz(Ⅱ)

(D)Sz(Ⅰ)<Sz(Ⅱ)

(参考答案:(C))

978-7-111-43425-2-Chapter08-49.jpg

图8-12 习题8-2图

习题8-3 关于中性轴位置,有以下几种论述,试判断哪一种是正确的。( )

(A)中性轴不一定在截面内,但如果在截面内它一定通过形心

(B)中性轴只能在截面内并且必须通过截面形心

(C)中性轴只能在截面内,但不一定通过截面形心

(D)中性轴不一定在截面内,而且也不一定通过截面形心

(参考答案:(D))

习题8-4 承受相同弯矩Mz的三根直梁,其截面组成方式如图8-13a、b、c所示。图8-13a中的截面为一整体;图8-13b中的截面由两矩形截面并列而成(未粘接);图8-13c中的截面由两矩形截面上下叠合而成(未粘连)。三根梁中的最大正应力分别为σamaxσbmaxσcmax。关于三者之间的关系有四种答案,试判断哪一种是正确的。( )

(A)σamaxσbmaxσcmax

(B)σamax=σbmaxσcmax

(C)σamaxσbmax=σcmax

(D)σamax=σbmax=σcmax

(参考答案:(B))

978-7-111-43425-2-Chapter08-50.jpg

图8-13 习题8-4图

习题8-5 螺旋夹紧器立臂的横截面为a×b的矩形,如图8-14所示。已知该夹紧器工作时承受的夹紧力F=16kN,材料的许用应力[σ]=160MPa,立臂厚a=20mm,偏心距e=140mm。试求立臂的宽度b。(参考答案:b≥67.3mm)

习题8-6 图8-15所示一楼梯木斜梁的长度为l=4m,截面为0.2m×0.1m的矩形,受均布载荷作用,q=2kN/m。试作梁的轴力图和弯矩图,并求横截面上的最大拉应力和最大压应力。(参考答案:σtmax=5.09MPa,σcmax=5.29MPa)

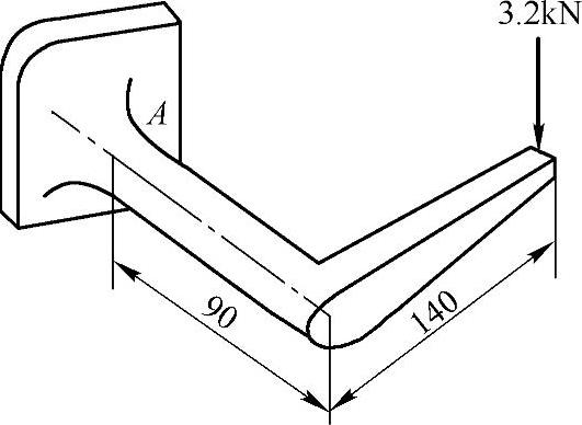
习题8-7 曲拐受力如图8-16所示,其圆杆部分的直径d=50mm。试画出表示A点处应力状态的单元体,并求其主应力和最大切应力。(参考答案:σ1=33.5MPa,σ2=0,σ3=-9.95MPa,τmax=21.7MPa)

978-7-111-43425-2-Chapter08-51.jpg

图8-14 习题8-5图

978-7-111-43425-2-Chapter08-52.jpg

图8-15 习题8-6图

978-7-111-43425-2-Chapter08-53.jpg

图8-16 习题8-7图

习题8-8 图8-17所示钢制实心圆轴其两个齿轮上作用有切向力和径向力,齿轮C的节圆(齿轮上传递切向力的点构成的圆)直径dC=400mm,齿轮D的节圆直径dD=200mm。已知许用应力[σ]=100MPa。试按第四强度理论求轴的直径。(参考答案:d≥51.9mm)

978-7-111-43425-2-Chapter08-54.jpg

图8-17 习题8-8图

习题8-9 图8-18所示传动轴、轴上的斜齿轮A上受有三个互相垂直的啮合力Fa=650N,Fτ=650N,Fr=1730N,方向如图所示。图示D=50mm,l=100mm。若已知轴的许用应力[σ]=90MPa,试按形状改变能密度理论(第四强度理论)设计轴的直径。(参考答案:d=23mm)

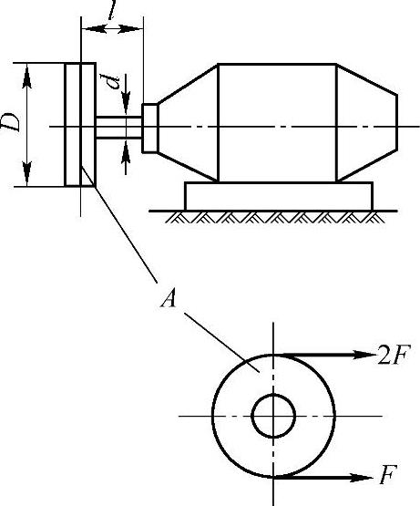
习题8-10 图8-19所示电动机功率P=9kW,转速n=715r/min,带轮直径D=250mm。电动机轴外伸长度l=120mm,轴的直径d=40mm,已知[σ]=60MPa。试用第三强度理论校核轴的强度。(参考答案:σr3=58.3MPa<[σ],安全

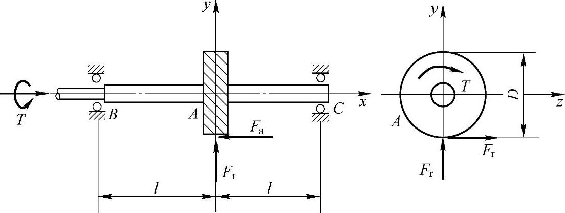
习题8-11 传动轴受力如图8-20所示。若已知材料的[σ]=120MPa,试设计该轴的直径。(参考答案:d=37.6mm)

978-7-111-43425-2-Chapter08-55.jpg

图8-18 习题8-9图

978-7-111-43425-2-Chapter08-56.jpg

图8-19 习题8-10图

978-7-111-43425-2-Chapter08-57.jpg

图8-20 习题8-11图