7.1.6  强度理论

7.1.6 强度理论

1.强度理论的概念

1)材料在单向应力状态下的强度(塑性材料的屈服极限,脆性材料的强度极限)总可通过拉伸试验和压缩试验加以测定;材料在纯剪切这种特定平面应力状态下的强度(剪切强度)可以通过例如圆筒的扭转试验来测定。

2)通过对材料破坏现象的观察和分析寻求材料强度破坏的规律,提出关于材料发生强度破坏的力学因素的假设——强度理论,以便利用单向拉伸、压缩以及圆筒扭转等试验测得的强度来推断复杂应力状态下材料的强度。

3)材料的强度破坏有两种类型:在没有明显塑性变形情况下的脆性断裂;产生显著塑性变形而丧失工作能力的塑性屈服。工程中常用的强度理论按上述两种破坏类型分为:研究脆性断裂力学因素的第一类强度理论,其中包括最大拉应力理论和最大伸长线应变理论;研究塑性屈服力学因素的第二类强度理论,其中包括最大切应力理论和形状改变能密度理论。

2.四种常用的强度理论

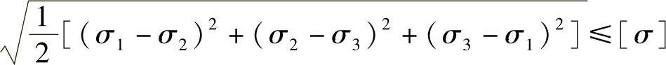
(1)最大拉应力理论(第一强度理论)

假定无论材料内各点的应力状态如何,只要有一点的主应力σ1达到单向拉伸断裂时的强度极限σb,材料即破坏。

失效条件可写为 978-7-111-43425-2-Chapter07-20.jpg

第一强度理论强度条件为 σ1≤[σ]

(2)最大伸长线应变理论(第二强度理论)

假定无论材料内各点的应变状态如何,只要有一点的最大伸长线应变ε1达到单向拉伸断裂时应变的极限值εu,材料即破坏。所以发生脆性断裂的条件是

ε1εu

失效条件的应力表达式为

978-7-111-43425-2-Chapter07-21.jpg

第二强度理论强度条件为

σ1-μσ2+σ3)≤[σ]

(3)最大切应力理论(第三强度理论)

假定无论材料内各点的应力状态如何,只要有一点的最大切应力τmax达到单向拉伸屈服切应力τs时,材料就在该处出现明显塑性变形或屈服。

屈服破坏条件是 τmaxτs

用应力表示的屈服破坏条件是

978-7-111-43425-2-Chapter07-22.jpg

第三强度理论强度条件是

σ1-σ3≤[σ]

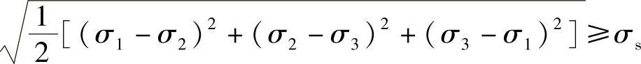
(4)形状改变能密度理论(第四强度理论)

假定复杂应力状态下材料的形状改变能密度达到单向拉伸时使材料屈服的形状改变能密度时,材料即会发生屈服。

屈服破坏条件是

978-7-111-43425-2-Chapter07-23.jpg

简单拉伸时:σ1=σsσ2=σ3=0,则

978-7-111-43425-2-Chapter07-24.jpg

屈服破坏条件是

978-7-111-43425-2-Chapter07-25.jpg

第四强度理论强度条件是

978-7-111-43425-2-Chapter07-26.jpg

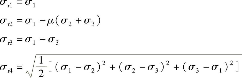
(5)四个强度理论的强度条件的统一形式

σr≤[σ]

式中,σr称为相当应力。它是由三个主应力按一定形式组合而成的,实质上是个抽象的概念,即σr是与复杂应力状态危险程度相当的单轴拉应力。按照从第一强度理论到第四强度理论的顺序,相当应力分别为

978-7-111-43425-2-Chapter07-27.jpg

一般来说,在常温和静载的条件下,脆性材料多发生脆性断裂,故通常采用第一、第二强度理论;塑性材料多发生塑性屈服,故应采用第三、第四强度理论。