11.3  例题解析

11.3 例题解析

例11-1 一点交变应力的循环曲线如图11-5所示,确定该交变应力的最大应力σmax、最小应力σmin,应力幅σa、平均应力σm和循环特征r

解:由图示特性曲线可得最大应力和最小应力分别为

σmax =30MPa,σmin=-60MPa

所以应力幅和平均应力分别为

σa =45MPa,σm=-15MPa

则循环特征为

r=-2

978-7-111-43425-2-Chapter11-15.jpg

图11-5 例11-1图

例11-2 试计算图11-6所示各交变应力的循环特征和应力幅。

解:(a)循环特征为

978-7-111-43425-2-Chapter11-16.jpg

应力幅为

978-7-111-43425-2-Chapter11-17.jpg

图11-6 例11-2图

978-7-111-43425-2-Chapter11-18.jpg

(b)循环特征为

r=-

应力幅为

978-7-111-43425-2-Chapter11-19.jpg

(c)循环特征为

978-7-111-43425-2-Chapter11-20.jpg

应力幅为

978-7-111-43425-2-Chapter11-21.jpg

(d)循环特征为

978-7-111-43425-2-Chapter11-22.jpg

应力幅为

978-7-111-43425-2-Chapter11-23.jpg

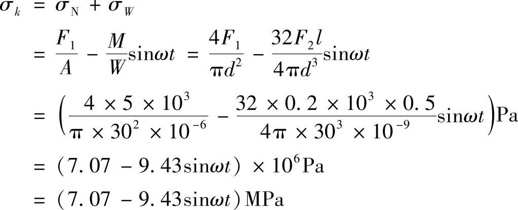
例11-3 图11-7a所示为直径d=30mm的钢圆轴,受横向力F2=0.2kN和轴向拉力F1=5kN的联合作用。当轴以匀角速ω转动时,试绘出跨中截面上k点处的正应力随时间变化的曲线,并计算其循环特征和应力幅。

解:跨中截面上k点处的正应力为

978-7-111-43425-2-Chapter11-24.jpg

图11-7 例11-3图

978-7-111-43425-2-Chapter11-25.jpg

跨中截面上k点处的正应力随时间变化曲线如图11-7b所示。

其循环特征

978-7-111-43425-2-Chapter11-26.jpg

应力幅为

Δσ=[16.5-(-2.36)]MPa=18.86MPa