5.3  例题解析

5.3 例题解析

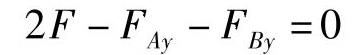
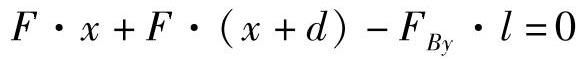
例5-1 图5-4所示桥式起重机大梁上小车的每个轮子对大梁的压力均为F,小车的轮距为d,大梁的跨度为l。试问小车在什么位置时梁内的弯矩最大?其最大弯矩值等于多少?最大弯矩在何截面?

978-7-111-43425-2-Chapter05-18.jpg

图5-4 例5-1图

解:求支座约束力,作内力图如图5-4所示。

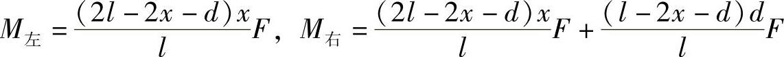
当小车的左轮运动到距梁左端A任意x位置时,由ΣMA=0得

978-7-111-43425-2-Chapter05-19.jpg

978-7-111-43425-2-Chapter05-20.jpg

由ΣFy=0得978-7-111-43425-2-Chapter05-21.jpg

978-7-111-43425-2-Chapter05-22.jpg

978-7-111-43425-2-Chapter05-23.jpg

下面求最大弯矩及其所在截面和小车的位置:

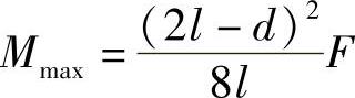
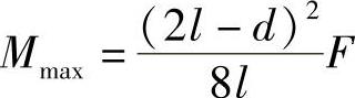
l-2x-d>0时,即978-7-111-43425-2-Chapter05-24.jpg时,小车右轮所在截面上的弯矩为最大弯矩,即M=Mmax,令978-7-111-43425-2-Chapter05-25.jpg,得978-7-111-43425-2-Chapter05-26.jpg,此时

978-7-111-43425-2-Chapter05-27.jpg

l-2x-d<0时,即978-7-111-43425-2-Chapter05-28.jpg时,小车左轮所在截面上的弯矩为最大弯矩,

M=Mmax,令978-7-111-43425-2-Chapter05-29.jpg,得978-7-111-43425-2-Chapter05-30.jpg,此时

978-7-111-43425-2-Chapter05-31.jpg

其中,弯矩图如图5-5所示。

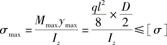
例5-2 长度l=250mm、截面宽度b=25mm、高度h=0.8mm的薄钢尺,由于两端外力偶矩的作用而弯成中心角为60°的圆弧。已知钢的弹性模量E=210GPa,试求钢尺横截面上的最大正应力。

978-7-111-43425-2-Chapter05-32.jpg

图5-5 弯矩图

解:根据题意 978-7-111-43425-2-Chapter05-33.jpg978-7-111-43425-2-Chapter05-34.jpg

可以得到 978-7-111-43425-2-Chapter05-35.jpg

故钢尺横截面上的最大正应力为

978-7-111-43425-2-Chapter05-36.jpg

例5-3 图5-6所示为矩形截面简支梁。试求1—1截面上ab两点的正应力和切应力。

978-7-111-43425-2-Chapter05-37.jpg

图5-6 例5-3图

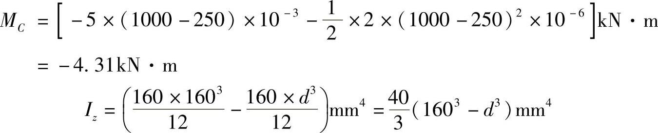
解:(1)求1—1截面上的剪力和弯矩。先求支座A处的支反力,如图5-6b所示,有

978-7-111-43425-2-Chapter05-38.jpg

再列图5-6c所示的平衡方程,有

ΣFy=0,FAy-FS1-1=0

ΣMA=0,FS1-1×1m-M1-1=0

所以1—1截面上的剪力和弯矩分别为

978-7-111-43425-2-Chapter05-39.jpg

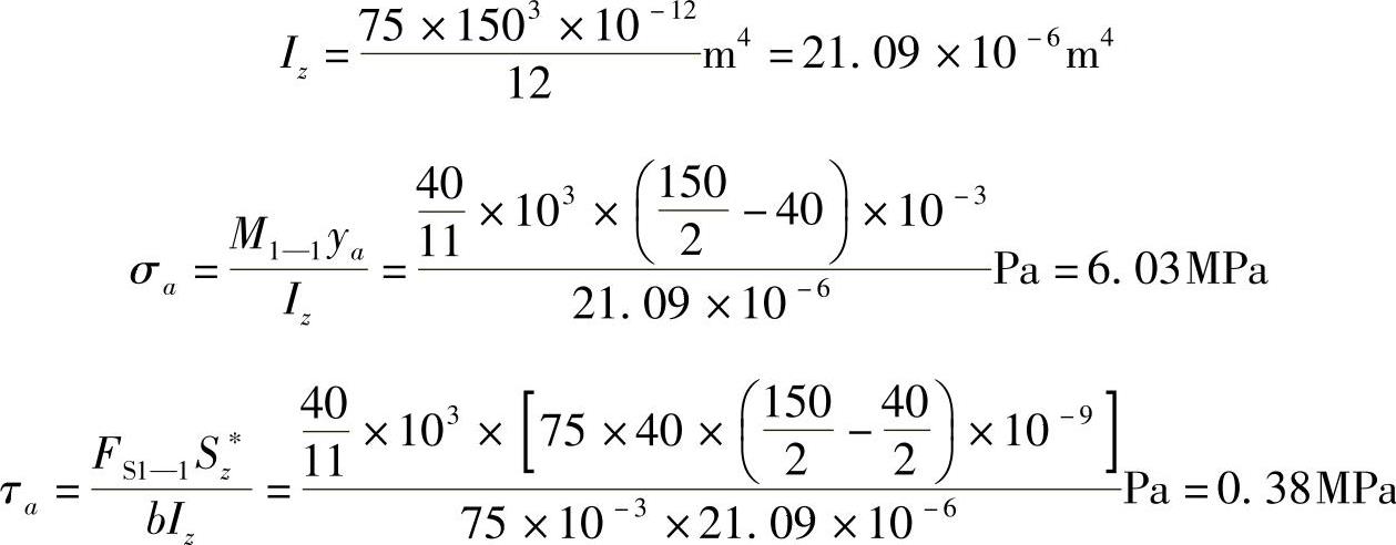
(2)求1—1截面上ab两点的应力。

978-7-111-43425-2-Chapter05-40.jpg

978-7-111-43425-2-Chapter05-41.jpg

978-7-111-43425-2-Chapter05-42.jpg

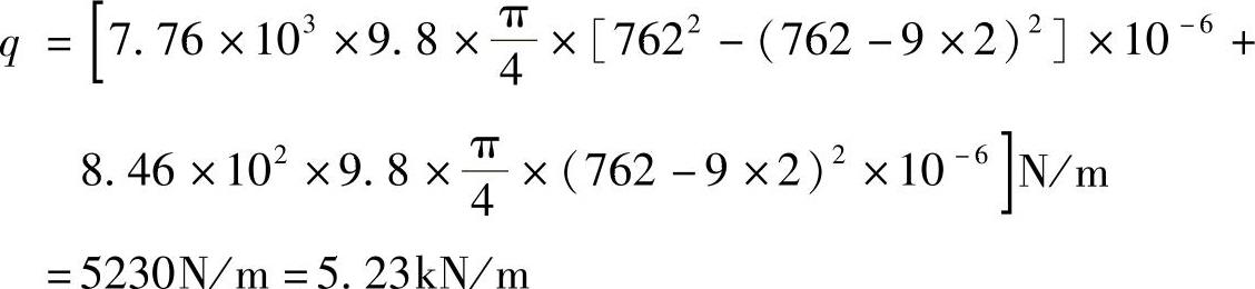
例5-4 如图5-7所示钢油管外径D=762mm,壁厚t=9mm,油的密度ρ1=8.46×102kg/m3,钢的密度ρ2=7.76×103kg/m3,钢管的许用正应力[σ]=170MPa。若将油管简支在支墩上,试求允许的最大跨长l

解:(1)作油管的受力简图。

978-7-111-43425-2-Chapter05-43.jpg

图5-7 例5-4图

978-7-111-43425-2-Chapter05-44.jpg

(2)求允许的最大跨长l

978-7-111-43425-2-Chapter05-45.jpg

978-7-111-43425-2-Chapter05-46.jpg,得到

978-7-111-43425-2-Chapter05-47.jpg

所以允许的最大跨长为32.1m。

例5-5 图5-8所示正方形截面悬臂木梁承受载荷作用。已知木材的许用正应力[σ]=10MPa。现需要在梁的C截面中性轴处钻一直径为d的圆孔,试问在保证该梁强度的条件下,圆孔的最大直径d可达多少(不考虑圆孔处应力集中的影响)?

解:C截面为危险截面。

978-7-111-43425-2-Chapter05-48.jpg

图5-8 例5-5图

978-7-111-43425-2-Chapter05-49.jpg

978-7-111-43425-2-Chapter05-50.jpg

978-7-111-43425-2-Chapter05-51.jpg,可得978-7-111-43425-2-Chapter05-52.jpg

例5-6 图5-9a所示T形截面铸铁梁承受载荷作用。已知铸铁的许用拉应力[σt]=40MPa,许用压应力[σc]=160MPa。试按正应力强度条件校核梁的强度。若载荷不变,但将T形横截面倒置成⊥形,是否合理?为什么?

978-7-111-43425-2-Chapter05-53.jpg

图5-9 例5-6图

解:(1)作M图,如图5-9b所示,求IzC

978-7-111-43425-2-Chapter05-54.jpg

(2)强度校核

B截面:978-7-111-43425-2-Chapter05-55.jpg

978-7-111-43425-2-Chapter05-56.jpg

C截面:978-7-111-43425-2-Chapter05-57.jpg

978-7-111-43425-2-Chapter05-58.jpg

(3)若倒置成⊥形时,σtB=σB=52.2MPa>[σt],所以不合理。

例5-7 若图5-10a所示梁的许用正应力[σ]=160MPa,许用切应力[τ]=100MPa,试选择工字钢的型号。

解:(1)求支反力,作剪力、弯矩图,如图5-10b、c所示

FSmax=22kN,Mmax=16.2kN·m

(2)按正应力强度条件选择工字钢型号。

978-7-111-43425-2-Chapter05-59.jpg,得到

978-7-111-43425-2-Chapter05-60.jpg

查表选14工字钢,其中,

978-7-111-43425-2-Chapter05-61.jpg

图5-10 例5-7图

Wz=102cm3b=5.5mm,Iz/Sz∗=12.0cm

(3)切应力强度条件校核。

978-7-111-43425-2-Chapter05-62.jpg

满足切应力强度条件。

综上所述,所以选择14工字钢。