11.4  习题

11.4 习题

是非题

习题11-1 构件在交变应力作用下的疲劳破坏与静应力作用下的失效本质是相同的。( )

习题11-2 通常将材料的持久极限与条件疲劳极限统称为材料的疲劳极限。( )

习题11-3 材料的疲劳极限与强度极限相同。( )

习题11-4 材料的疲劳极限与构件的疲劳极限相同。( )

(参考答案:11-1 ✕, 11-2 √, 11-3 ✕, 11-4 ✕)

选择题

习题11-5 标准试样经无限多次应力循环而不发生疲劳破坏的( ),称为材料的疲劳极限。

(A)应力幅

(B)平均应力值

(C)最大应力值

(D)最小应力值

习题11-6 构件在交变应力作用下发生疲劳破坏,以下结论中( )是错误的。

(A)断裂时的最大应力小于材料的静强度极限

(B)用塑性材料制成的构件,断裂时有明显的塑性变形

(C)用脆性材料制成的构件,破坏时呈脆性断裂

(D)断口表面一般可明显地分为光滑区和颗粒状粗糙区

(参考答案:11-5(C),11-6(B))

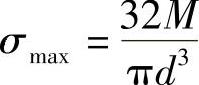
习题11-7 直径为d,受纯弯曲(弯矩为M)的圆截面轴绕其轴线旋转,求表面一点交变应力的循环特征r、最大应力σmax、最小应力σmin、应力幅σa和平均应力σm。(参考答案:最大应力978-7-111-43425-2-Chapter11-27.jpg,最小应力978-7-111-43425-2-Chapter11-28.jpg,循环特征r=-1,应力幅978-7-111-43425-2-Chapter11-29.jpg,平均应力σm=0)