7.1.5 复杂应力状态的应变能密度
1)单元体在主应力作用下不仅其体积会发生改变,而且其形状(指单元体三个边长之比)也会发生改变。这就表明,单元体内的应变能密度vε包含了体积改变能密度vV和形状改变能密度vd两部分,即
vε=vV+vd
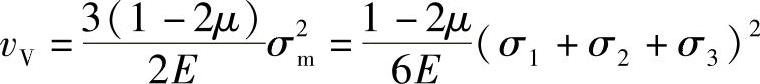
2)将图7-5a所示应力状态分解为图7-5b、c所示两种应力状态,图7-5a所示单元体的体积改变能密度就等于图7-5b所示单元体的应变能密度,故对图7-5a所示单元体有

图7-5a所示单元体的形状改变能密度就等于图7-5c所示单元体的应变能密度,故对图7-5a所示单元体有


图 7-5