8.1.3  偏心压缩与截面核心

8.1.3 偏心压缩与截面核心

偏心拉伸或偏心压缩指当外力作用线与杆的轴线平行但不重合时,将引起轴向拉伸(压缩)和平面弯曲两种基本变形。

(1)偏心拉(压)杆横截面上的内力和应力

如图8-1所示,F使杆发生拉伸变形,My使杆发生xOz平面内的弯曲变形(y为中性轴),Mz使杆发生xOy平面内的弯曲变形(z为中性轴),杆件内力:轴力为FN=F,弯矩为

My=FzFMz=FyF

978-7-111-43425-2-Chapter08-4.jpg

图 8-1

F产生的正应力为 978-7-111-43425-2-Chapter08-5.jpg

My产生的正应力为 978-7-111-43425-2-Chapter08-6.jpg

Mz产生的正应力为 978-7-111-43425-2-Chapter08-7.jpg

最大拉应力σtmax和最大压应力σcmin分别为

978-7-111-43425-2-Chapter08-8.jpg

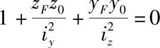
(2)中性轴位置

在偏心拉伸(压缩)情况下,中性轴是一条不通过截面形心的直线。其具体表达式为 978-7-111-43425-2-Chapter08-9.jpg

(3)截面核心

当外力作用点位于包括截面形心的一个区域内时,就可以保证中性轴不穿过横截面(整个截面上只有拉应力或压应力),这个区域就称为截面核心。当外力作用在截面核心的边界上时,与此相应的中性轴正好与截面的周边相切。截面核心的边界就由此关系确定。