7.1.4 广义胡克定律
(1)在线弹性范围内,且为小变形的条件下,空间应力状态的应力分量与应变分量之间的关系,即为广义胡克定律。
(2)各向同性材料的广义胡克定律
1)在正应力作用下,沿正应力方向及与之垂直的方向产生线应变,而在包含正应力作用面在内的三个相互垂直的平面内不会发生切应变;
2)在切应力作用下只会在切应力构成的平面内产生切应变,而在与之垂直的平面内不会产生切应变;也不会在切应力方向和与它们垂直的方向产生线应变。
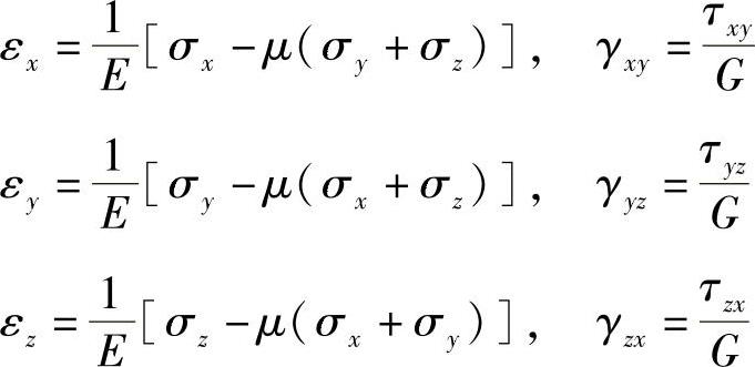
(3)一般空间应力状态如图7-4a所示,广义胡克定律为


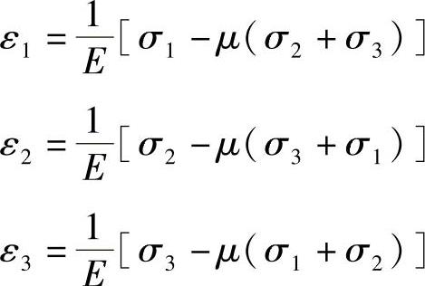
图 7-4
(4)当单元体周围六个面都是主平面时,如图7-4b所示,广义胡克定律为

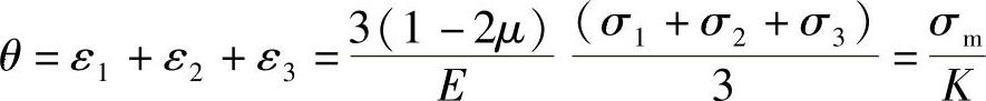
(5)体积应变的胡克定律
单元体单位体积变化为

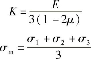
式中,

K称为体积模量;σm是三个主应力的平均值。