附录B  模拟试题

附录B 模拟试题

B.1 模拟试题1

一、单项选择题(20分)

1.构件的强度指的是构件____。

A.抵抗破坏的能力 B.抵抗变形的能力

C.保证安全的能力 D.保持原有平衡形式的能力

2.工程上常把伸长率小于多少的材料称为脆性材料?____

A.10% B.15%

C.3% D.5%

3.铆钉联接件在挤压应力过大时会发生什么破坏?____

A.铆钉剪断 B.铆钉联接件松动

C.联接板被拉断 D.铆钉剪断和联接板被拉断

4.某一实心圆轴,若将其横截面面积增大一倍,其他条件不变,则最大扭转角为原来的____。

A.2.828倍 B.2倍

C.1/2.828 D.1/4

5.平面图形的惯性矩取值情况是____。

A.恒为零 B.恒为正

C.恒为负 D.可为正、可为负、可为零

6.纵向对称面是____。

A.轴线和横截面的对称轴所确定的平面

B.轴线和载荷作用线所确定的平面

C.轴线和中性轴所确定的平面

D.中性轴和截面对称轴所确定的平面

7.矩形截面梁的截面面积为A,某截面上的剪力为FS,该截面上的最大切应力等于____。

A.FS/A B.4FS/(3A

C.2FS/A D.1.1.5FS/A

8.一等截面直梁长为l,坐标原点取在左端。挠曲线方程为y=A(3x2-x3)(A为常数),则下列论述错误的是____。

A.左端为固定端 B.x=0处,挠度等于零

C.x=0处,弯矩等于零 D.x=0处,转角等于零

9.偏心压力作用在截面核心内时,____。

A.中性轴与截面边缘相切 B.中性轴与截面不相交

C.中性轴与截面相交 D.中性轴与截面形心主轴重合

10.短粗杆的柔度要满足下列哪些条件?____。

A.λλs B.λλp

C.λsλλp D.λsλ

二.分析与计算题(80分)

1.作图B-1示阶梯形直杆的轴力图,并求最大正应力和A点的位移。已知A1=200mm2A2=300mm2E=200GPa。(10分)

978-7-111-43425-2-Chapter13-12.jpg

图 B-1

2.简支梁的受力与截面尺寸如图B-2所示。已知材料的许用应力为[σ]=10MPa,[τ]=3MPa,d=160mm。试校核梁的强度。(20分)

978-7-111-43425-2-Chapter13-13.jpg

图 B-2

3.求图B-3所示图形的形心坐标yC,并求形心主惯性矩Iz。(10分)

978-7-111-43425-2-Chapter13-14.jpg

图 B-3

4.矩形截面柱如图B-4所示。已知F1=F2=80kN,F1与轴线重合,F2作用在y轴上。b=24cm,h=30cm,e=10cm。求最大拉应力和最大压应力。(15分)

5.如图B-5所示轴心压杆,长度l=3.5m,两端为球形铰支座。截面直径为d=76mm。材料为Q235钢,E=205GPa,λp=123。试求该杆的临界压力。(15分)

6.如图B-6所示,绞车起吊重量W=50kN的重物,以等速度v=1.6m/s下降。当重物与绞车之间的钢索长度l=240m时,突然刹住绞车。若钢索横截A=1000mm2。试求钢索内的最大正应力(不计钢索自重)。(10分)

978-7-111-43425-2-Chapter13-15.jpg

图 B-4

978-7-111-43425-2-Chapter13-16.jpg

图 B-5

978-7-111-43425-2-Chapter13-17.jpg

图 B-6

B.2 模拟试题2

一、单项选择题(20分)

1.物体受力作用而发生变形,当外力去除又恢复原来的形状和尺寸的性质称为____。

A.弹性 B.塑性 C.刚性 D.稳定性

2.一圆截面直杆,两端受的拉力相同,若将直径增大一倍,其他条件不变,则____。

A.轴力不变 B.应力不变 C.刚度不变 D.伸长量不变

3.联接件的计算挤压面均应取____

A.圆柱面 B.实际挤压面 C.半圆柱面 D.平面

4.某一实心圆轴,若将其横截面面积增大一倍,其他条件不变,则最大许用扭矩为原来的____。

A.1.414倍 B.2倍 C.2.828倍 D.4倍

5.平面图形的极惯性矩取值情况是____。

A.恒为零 B.恒为正

C.恒为负 D.可为正、可为负、可为零

6.集中力偶作用处,梁的剪力图____。

A.发生突变 B.出现尖点

C.无变化 D.发生拐折

7.T形截面铸铁简支梁在竖直向下载荷作用下,梁的合理截面位置应如何放置?____。

A.将翼缘放左侧 B.将翼缘放右侧

C.将翼缘放上侧 D.将翼缘放下侧

8.挠度方程中的积分常数是坐标原点处截面的____。

A.弯矩 B.剪力 C.挠度 D.转角

9.纯切应力状态,其余任意两相互垂直的面上的正应力必定是____。

A.均为正值 B.一个为正值一个为负值

C.均为负值 D.均为零

10.拉弯组合变形可以分解成轴向拉伸和平面弯曲两种基本变形,设这两种基本变形产生的正应力分别为σ1σ2,则拉弯组合变形的应力为____。

978-7-111-43425-2-Chapter13-18.jpg

二、分析与计算题(80分)

1.作图B-7所示直杆的轴力图,并求最大正应力和总伸长量。已知A=200mm2E=200GPa。(10分)

978-7-111-43425-2-Chapter13-19.jpg

图 B-7

2.简支梁的受力与截面尺寸如图B-8所示。已知材料的许用应力为[σ]=160MPa,[τ]=90MPa,d=120mm。试校核梁的强度。(15分)

978-7-111-43425-2-Chapter13-20.jpg

图 B-8

3.求图B-9所示图形的形心坐标yC,并求形心主惯性矩Iz。(10分)

4.矩形截面简支梁如图B-10所示。已知q=2kN/m,l=4m,h=160mm,b=120mm,φ=30°,[σ]=12MPa。试校核梁的强度。(20分)

978-7-111-43425-2-Chapter13-21.jpg

图 B-9

978-7-111-43425-2-Chapter13-22.jpg

图 B-10

5.如图B-11所示轴心压杆,长度l=5m,截面为正方形截面,边长为a=80mm。材料为Q235钢,E=205GPa,λp=100。试求该杆的临界压力。(10分)

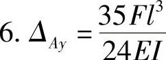
6.图B-12所示刚架各杆的弯曲刚度均为EI,不计剪力和轴力对位移的影响。试用卡氏定理求A截面的铅垂位移ΔAy。(15分)

978-7-111-43425-2-Chapter13-23.jpg

图 B-11

978-7-111-43425-2-Chapter13-24.jpg

图 B-12

B.3 模拟试题3

一、单项选择题(20分)

1.低碳钢试样拉伸时,横截面上的应力公式σ=FN/A适用于以下哪一种情况?____

A.只适用于σσp B.只适用于σσe

C.只适用于σσs D.在试样拉断前都适用

2.设受力在弹性范围内,问空心圆杆受轴向拉伸时,外径与壁厚的下列四种变形关系中哪一种是正确的?____

A.外径和壁厚都增大 B.外径和壁厚都减小

C.外径减小,壁厚增大 D.外径增大,壁厚减小

3.高度等于宽度两倍(h=2b)的矩形截面梁,如图B-13所示,承受垂直方向的载荷,若仅将竖放截面改为平放截面,其他条件都不变,则梁的强度____。

A.提高到原来的2倍 B.提高到原来的4倍

C.降低到原来的1/2倍 D.降低到原来的1/4倍

978-7-111-43425-2-Chapter13-25.jpg

图 B-13

4.低碳钢材料在拉伸试验过程中,不发生明显的塑性变形时,承受的最大应力应当小于____的数值。

A.比例极限 B.许用应力 C.强度极限 D.屈服极限

5.如图B-14所示,在平板和受拉螺栓之间垫上一个垫圈,可以提高。

978-7-111-43425-2-Chapter13-26.jpg

图 B-14

A.螺栓的抗拉强度 B.螺栓的挤压强度

C.螺栓的剪切强度 D.平板的挤压强度

6.某直梁横截面面积为常数,横向力沿y方向作用,图B-15所示的四种截面形状中,抗弯能力最强的为____截面形状。

978-7-111-43425-2-Chapter13-27.jpg

图 B-15

A.矩形 B.工字形 C.圆形 D.正方形

7.图B-16所示等直梁承受均布载荷q作用,C处用铰链连接。在截面C上____。

A.有弯矩,无剪力 B.有剪力,无弯矩

C.既有弯矩又有剪力 D.既无弯矩又无剪力

978-7-111-43425-2-Chapter13-28.jpg

图 B-16

8.在下面这些关于梁的弯矩与变形间关系的说法中,____是正确的。

A.弯矩为正的截面转角为正 B)弯矩最大的截面挠度最大

C.弯矩突变的截面转角也有突变 D.弯矩为零的截面曲率必为零

9.用积分法求图B-17所示梁的挠曲线方程时,确定积分常数的四个条件,除ωA=0,θA=0外,另外两个条件是____。

A.wC=wCθC=θC B.wC=wCwB=0

C.wC=0,wB=0 D.wB=0,θC=0

10.图B-18所示应力状态,用第三强度理论校核时,其相当应力为____。

978-7-111-43425-2-Chapter13-29.jpg

图 B-17

978-7-111-43425-2-Chapter13-30.jpg

978-7-111-43425-2-Chapter13-31.jpg

图 B-18

二、分析与计算题(80分)

1.⊥形截面铸铁梁如图B-19所示。若铸铁的许用拉应力为[σ+]=40MPa,许用压应力为[σ-]=160MPa,截面对形心zC的惯性矩IzC=10180cm4h1=96.4mm,试画梁的弯矩图,并求梁的许用载荷F。(15分)

978-7-111-43425-2-Chapter13-32.jpg

图 B-19

2.用积分法求图B-20所示梁的最大挠度和最大转角。(10分)

978-7-111-43425-2-Chapter13-33.jpg

图 B-20

3.如图B-21a所示,已知T形铸铁外伸梁的许用拉应力为[σt]=35MPa,许用压应力为[σc]=120MPa,Iz=5×108mm4y1=70mm,y2=130mm,z轴过形心,试求:

(1)按图B-21b放置时的许用载荷[F];

(2)按图B-21b、c两种放置哪种合理?为什么?(15分)

4.图B-22所示齿轮传动轴电动机带动,作用在齿轮上的力如图所示。已知齿轮节圆直径D=120mm,F=0.8kN,FT=2kN。设轴的直径d=30mm,l=160mm,[σ]=80MPa。试用第三强度理论校核轴的强度。(20分)

978-7-111-43425-2-Chapter13-34.jpg

图 B-21

978-7-111-43425-2-Chapter13-35.jpg

图 B-22

5.如图B-23所示,沿圆环(半径为a)的水平和垂直直径各作用一对力FA点在载荷作用点之上,且非常靠近作用点,试求截面A处的内力(矩)。(10分)

978-7-111-43425-2-Chapter13-36.jpg

图 B-23

6.轴线为半圆形的平面曲杆,作用于A端的集中力F垂直于轴线所在的平面,如图B-24所示。试求A点的垂直位移。已知GIpEI为常量。(10分)

978-7-111-43425-2-Chapter13-37.jpg

图 B-24

附录B参考答案

模拟试题1

一、1.A 2.D 3.B 4.D 5.B

6.A 7.D 8.C 9.B 10.A

二、1.

978-7-111-43425-2-Chapter13-38.jpg

2.σmax=7.46MPa<[σ],τmax=0.62MPa<[τ]

3.yC=55mm,Iz=3.645×106mm4

4.σmax=0,σmin=-4.44MPa

5.λ=129,Fcr=550.7kN

6.σd=157MPa

模拟试题2

一、1.A 2.A 3.D 4.C 5.D

6.C 7.D 8.C 9.B 10.C

二、1.σmax=100MPa,Δl=0.5mm

2.σmax=118MPa<[σ],τmax=2.36MPa<[τ]

3.zC=31.51mm,IyC=2527524mm4

4.σmax=11.98MPa<[σ]

5.λ=108.3,Fcr=1102.9kN

978-7-111-43425-2-Chapter13-39.jpg

模拟试题3

一、1.D 2.B 3.D 4.D 5.D

6.B 7.D 8.D 9.B 10.D

二、1.[F]=44.2kN

2.978-7-111-43425-2-Chapter13-40.jpg

3.[F]=25kN,由弯矩图知图B-21b合理。

4.安全

5.978-7-111-43425-2-Chapter13-41.jpg

6.978-7-111-43425-2-Chapter13-42.jpg