12.1.4  卡氏定理

12.1.4 卡氏定理

设一线弹性结构,受到一组相互独立的广义载荷F1F2,…,Fi,…,Fn作用发生变形,各载荷相应的位移分别为δ1δ2,…,δi,…,δn。结构的应变能为

978-7-111-43425-2-Chapter12-9.jpg

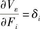
则应变能对某一力Fi的偏导数等于该力所相应的广义位移δi,即

978-7-111-43425-2-Chapter12-10.jpg

(1)卡氏定理只适用于线弹性体。

(2)Fi为广义力,δi为相应的位移,即一个力对应一个线位移,一个力偶对应一个角位移等。

(3)卡氏定理的应用

1)轴向拉伸与压缩时,有

978-7-111-43425-2-Chapter12-11.jpg

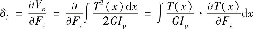
2)扭转时,有

978-7-111-43425-2-Chapter12-12.jpg

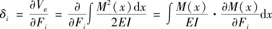
3)弯曲时,有

978-7-111-43425-2-Chapter12-13.jpg

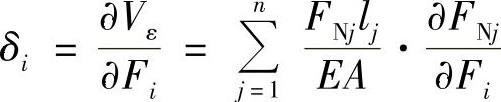
4)平面桁架的广义位移为

978-7-111-43425-2-Chapter12-14.jpg

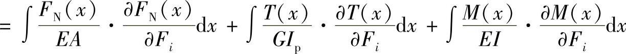
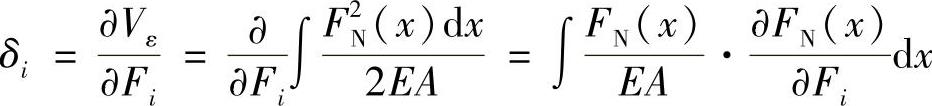
5)组合变形时的广义位移为

978-7-111-43425-2-Chapter12-15.jpg

978-7-111-43425-2-Chapter12-16.jpg