3.3  例题解析

3.3 例题解析

例3-1 试作如图3-1a所示圆轴的扭矩图,并求B截面相对A截面的相对扭转角及AB段中最大相对扭转角(相对于截面A)。设TaGd均为已知,t是均布扭转力偶矩的集度。

解:扭矩图如图3-1b所示,有

978-7-111-43425-2-Chapter03-8.jpg

AB段内对A截面最大相对扭转角是a/2处截面对A截面的扭转角,即

978-7-111-43425-2-Chapter03-9.jpg

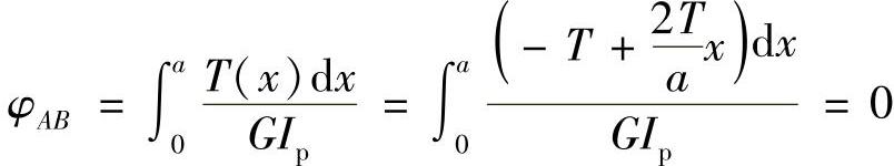
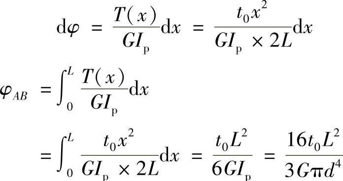
例3-2 图3-2a所示为一端固定,另一端自由的圆轴,承受的载荷是按线性规律分布的分布力偶tx),其最大分布集度为t0。已知轴长为L,直径为d,材料的切变模量为G。(1)试绘出扭矩图;(2)求B端扭转角φAB

978-7-111-43425-2-Chapter03-10.jpg

图3-1 例3-1图

解:(1)作扭矩图,有

978-7-111-43425-2-Chapter03-11.jpg

扭矩图如图3-2b所示。

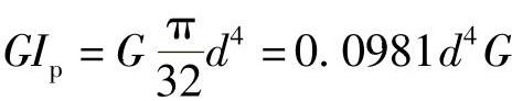
(2)如图3-2a所示,在x处取dx微段,其两端的相对扭转角为

978-7-111-43425-2-Chapter03-12.jpg

例3-3 有三根轴,横截面面积、杆长和材料均相同,截面形状分别为圆形、正方形和h/b=2的矩形,试比较它们的抗扭刚度。

978-7-111-43425-2-Chapter03-13.jpg

图3-2 例3-2图

解:设圆形截面的直径为d,正方形截面的边长为a;根据题意知矩形截面的高为h,宽为b

由面积相等得πd2/4=a2=hb,且h/b=2,由此得到978-7-111-43425-2-Chapter03-14.jpg978-7-111-43425-2-Chapter03-15.jpg978-7-111-43425-2-Chapter03-16.jpg

对于矩形截面,杆件抗扭刚度计算公式为

GIt=Gβb3h

其中,对于正方形截面杆件,β=0.141,则GIt=0.0869d4G

对于h/b=2的矩形截面杆件,β=0.229,则,GIt=0.0706d4G

对于圆形截面,杆件抗扭刚度为978-7-111-43425-2-Chapter03-17.jpg

所以圆形截面、正方形截面和矩形截面杆件的抗扭刚度之比为

GIpGIt1GIt2=1∶0.886∶0.720

例3-4 图3-3所示圆轴,其端部AB段截面因安装手轮被加工成正方形。设正方形边长为a,圆轴直径为d。试从强度方面求轴的许用扭矩因此降低了多少百分率?

978-7-111-43425-2-Chapter03-18.jpg

图3-3 例3-4图

解:由图得 978-7-111-43425-2-Chapter03-19.jpg

正方形:α=0.208,978-7-111-43425-2-Chapter03-20.jpg978-7-111-43425-2-Chapter03-21.jpg

978-7-111-43425-2-Chapter03-22.jpg

降低百分率为(1-0.375)×100%=62.5%。

例3-5 密圈螺旋弹簧,簧圈平均半径R=20mm,材料许用切应力[τ]=480MPa,切变模量G=80GPa,若欲使该弹簧在轴向载荷F=1kN作用下恰好产生λ=30mm的轴向变形,试确定弹簧丝的直径d和弹簧的圈数n

解:978-7-111-43425-2-Chapter03-23.jpg

若取d=6mm,则

978-7-111-43425-2-Chapter03-24.jpg

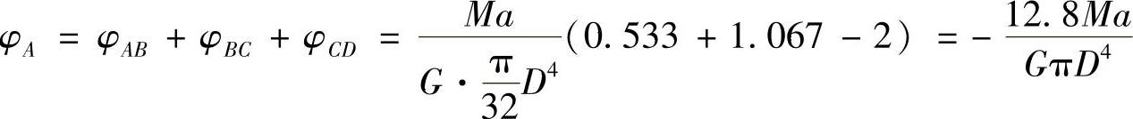
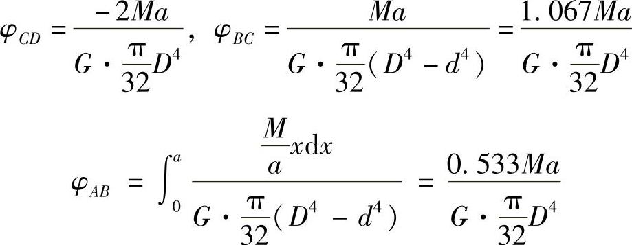
例3-6 圆轴受力如图3-4a所示,外直径为D,孔直径d=D/2,材料的切变模量为G,又设长度a,力偶矩M均为已知。(1)画轴的扭矩图;(2)求A截面的扭转角。

解:(1)轴的扭矩图如图3-4b所示。

(2)由978-7-111-43425-2-Chapter03-25.jpg

A端扭转角为

978-7-111-43425-2-Chapter03-26.jpg

图3-4 例3-6图

978-7-111-43425-2-Chapter03-27.jpg

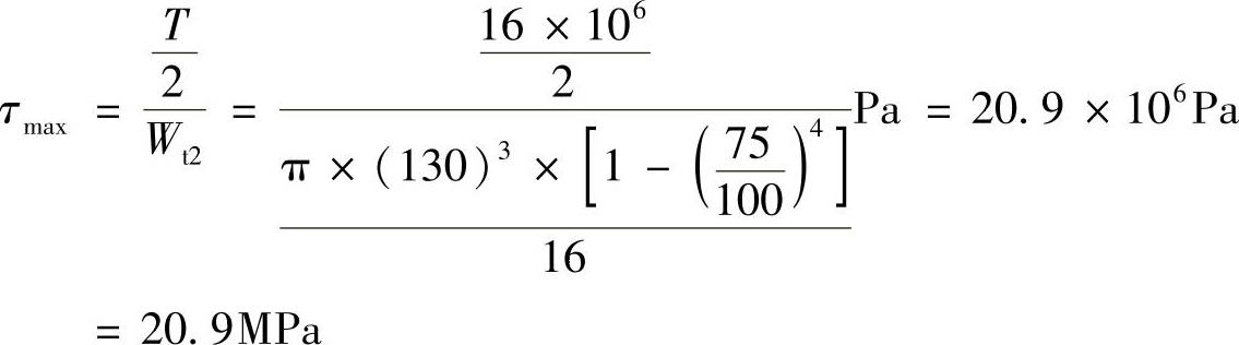
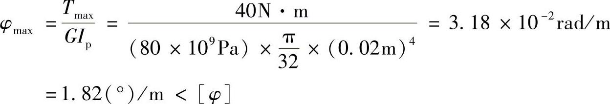
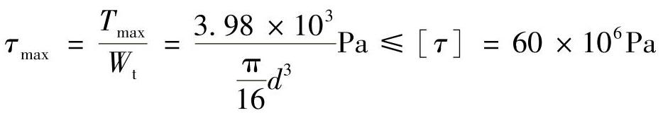
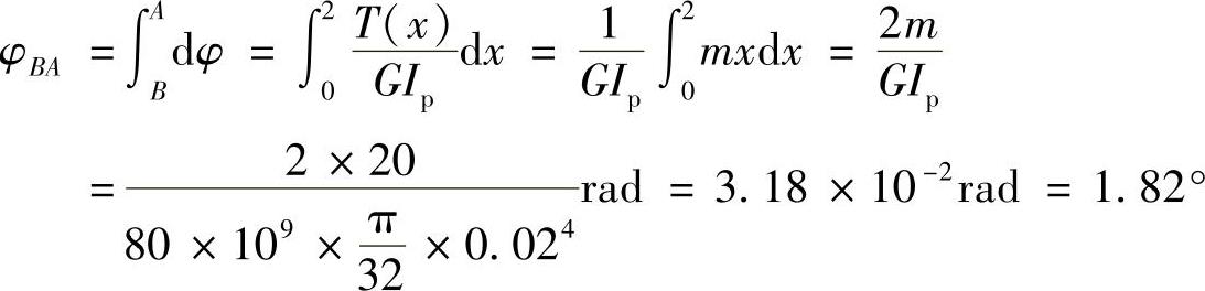
例3-7 如图3-5所示圆截面杆AB左端固定,承受均布力偶作用,其力偶矩集度为m=20(N·m)/m。已知直径d=20mm,l=2m,材料的切变模量G=80GPa,[τ]=30MPa,单位长度的许用扭转角[φ]=2(°)/m。试进行强度和刚度校核,并计算AB两截面的相对转角φBA

978-7-111-43425-2-Chapter03-28.jpg

图3-5 例3-7图

解:(1)强度校核。A截面扭矩最大,其值为

Tmax=ml=20(N·m)/m×2m=40N·m

最大切应力为

978-7-111-43425-2-Chapter03-29.jpg

所以满足强度条件。

(2)刚度校核。杆单位长度最大扭转角为

978-7-111-43425-2-Chapter03-30.jpg

所以满足刚度条件。

(3)AB两截面的相对扭转角为

978-7-111-43425-2-Chapter03-31.jpg

例3-8 如图3-6a所示传动轴的转速n=600r/min,主动轮2输入功率P2=350kW,从动轮1,3,4分别输出P1=100kW,P3=130kW,P4=120kW。已知[τ]=60MPa,[φ]=1(°)/m,G=80GPa,试画出该传动轴的扭矩图,并确定该等直径传动轴的直径。

978-7-111-43425-2-Chapter03-32.jpg

图3-6 例3-8图

解:根据功率转化为扭矩的关系,1,2,3,4各截面的扭矩分别如下:

978-7-111-43425-2-Chapter03-33.jpg

扭矩图如图3-6b所示。

由强度条件有

978-7-111-43425-2-Chapter03-34.jpg

求得 d≥0.07m

由刚度条件有

978-7-111-43425-2-Chapter03-35.jpg

求得d≥0.074m,所以,该轴直径应不小于74mm。

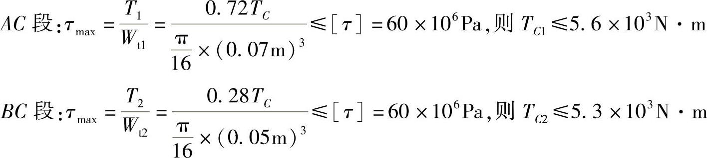
例3-9 如图3-7所示两端固定的阶梯圆轴,在截面C上受扭转力偶矩TC的作用。已知D1=7cm,D2=5cm,[τ]=60MPa,试求最大的扭转力偶矩TC

解:AC段扭矩为T1BC段扭矩为T2,则由平衡条件有

T1+T2=TC (a)

978-7-111-43425-2-Chapter03-36.jpg

图3-7 例3-9图

变形条件为C截面左右两侧转角相等,即

φCACB,即978-7-111-43425-2-Chapter03-37.jpg

从而有 978-7-111-43425-2-Chapter03-38.jpg

由式(a)、式(b)解得

T1 =0.72TCT2=0.28TC

列强度条件如下:

978-7-111-43425-2-Chapter03-39.jpg

所以[TC]=5.3×103N·m。

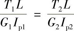
例3-10 如图3-8所示,一组合轴由直径d=75mm的钢杆与外面紧包的黄铜管组成。已知切变模量G=80GPa,G=10GPa。试问:(1)如果组合轴两端受扭转力偶T作用,两种材料分担同样大小的力偶矩,则黄铜管的外径D为多少?(2)如果T=16kN·m,则每种材料中产生的最大扭转切应力为多少?

解:设钢杆为1杆,铜杆为2杆。

(1)两杆扭转角相等,即φ1=φ2,即

978-7-111-43425-2-Chapter03-40.jpg

图3-8 例3-10图

978-7-111-43425-2-Chapter03-41.jpg

T1=T2,所以G1Ip1=G2Ip2,即

978-7-111-43425-2-Chapter03-42.jpg

G1d4=G2D4-d4

从而得到 978-7-111-43425-2-Chapter03-43.jpg

(2)最大切应力

实心钢轴:978-7-111-43425-2-Chapter03-44.jpg

空心铜管:978-7-111-43425-2-Chapter03-45.jpg

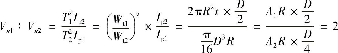
例3-11 有一薄壁圆管的平均直径为R,壁厚为t。另有一实心圆轴的直径为D,二者材料相同,横截面面积相同,长度均为L,各自承受不同扭矩,如果二者的最大切应力相同。试问:管的应变能与实心轴的应变能之比值是多少?

解:设薄壁圆管为杆1,实心轴为杆2。则

978-7-111-43425-2-Chapter03-46.jpg

τ1max=τ2max,即 978-7-111-43425-2-Chapter03-47.jpg

A1=A2,即 978-7-111-43425-2-Chapter03-48.jpg

所以

978-7-111-43425-2-Chapter03-49.jpg

Vε1Vε2=2∶1。

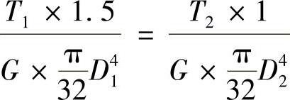
例3-12 如图3-9所示,实心轴和空心轴通过牙嵌离合器连接,已知轴的转速n=120r/min,传递功率P=8.5kW,材料的许用切应力[τ]=45MPa。试确定实心轴的直径D1和内、外径比α=0.5的空心轴的外径D2

978-7-111-43425-2-Chapter03-50.jpg

图3-9 例3-12图

解:轴传递的扭矩

978-7-111-43425-2-Chapter03-51.jpg

根据扭转圆轴的强度条件

978-7-111-43425-2-Chapter03-52.jpg

对于实心轴,有

978-7-111-43425-2-Chapter03-53.jpg

故可取实心轴的直径为D1=43mm。

对于空心轴,则有

978-7-111-43425-2-Chapter03-54.jpg

故可取空心轴的直径为D2=44mm。