8.1.2 拉伸或压缩与弯曲的组合变形
(1)受力特点:作用在杆件上的外力既有轴向拉(压)力,也有横向力。
(2)变形特点:杆件将发生拉伸(压缩)与弯曲的组合变形。
(3)强度计算:分别计算拉伸(压缩)正应力和弯曲正应力,叠加后进行强度计算。
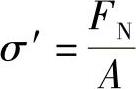
拉伸(压缩)时,横截面的正应力为

弯曲时,横截面最大拉(压)应力为

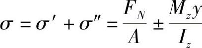
拉伸(压缩)与弯曲的组合,横截面的最大拉(压)应力为

由于危险点处的应力状态仍为单向应力状态,故其强度条件为
σmax≤[σ]
当材料的许用拉应力和许用压应力不相等时,应分别建立杆件的抗拉和抗压强度条件,即
σtmax≤[σt],σcmax≤[σc]