12.4  习题

12.4 习题

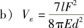
习题12-1 试求图12-14所示杆的应变能。各杆均由同一种材料制成,弹性模量为E。各杆的长度相同。(参考答案:a)978-7-111-43425-2-Chapter12-97.jpg978-7-111-43425-2-Chapter12-98.jpg978-7-111-43425-2-Chapter12-99.jpg978-7-111-43425-2-Chapter12-100.jpg978-7-111-43425-2-Chapter12-101.jpg

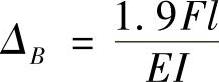
习题12-2 简支架如图12-15所示,已知梁的抗弯刚度EI,试求梁上D点的挠度。(参考答案:978-7-111-43425-2-Chapter12-102.jpg

978-7-111-43425-2-Chapter12-103.jpg

图12-14 习题12-1图

978-7-111-43425-2-Chapter12-104.jpg

图12-15 习题12-2图

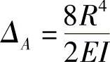
习题12-3 试求图12-16所示四分之一圆曲杆的应变能,并利用功能原理求B截面的铅垂位移。已知EI为常量。(参考答案:978-7-111-43425-2-Chapter12-105.jpg

习题12-4 图12-17所示桁架每根的横截面面积为A,弹性模量为E,试用能量法求力F作用点的水平位移。(参考答案:a)978-7-111-43425-2-Chapter12-106.jpg978-7-111-43425-2-Chapter12-107.jpg978-7-111-43425-2-Chapter12-108.jpg

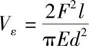
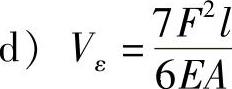
习题12-5 线弹性杆件受力如图12-18所示,若两杆的抗拉(压)刚度均为EA。试利用外力功与应变能之间的关系计算加力点B的铅垂位移。(参考答案:978-7-111-43425-2-Chapter12-109.jpg

978-7-111-43425-2-Chapter12-110.jpg

图12-16 习题12-3图

习题12-6 如图12-19所示的钢架,EI为常数,试求A点的水平位移。(参考答案:978-7-111-43425-2-Chapter12-111.jpg

978-7-111-43425-2-Chapter12-112.jpg

图12-17 习题12-4图

978-7-111-43425-2-Chapter12-113.jpg

图12-18 习题12-5图

978-7-111-43425-2-Chapter12-114.jpg

图12-19 习题12-6图

习题12-7 求图12-20所示曲杆A截面处的铅垂位移。设曲杆的曲率半径REI已知。(参考答案:978-7-111-43425-2-Chapter12-115.jpg

978-7-111-43425-2-Chapter12-116.jpg

图12-20 习题12-7图