3.1.4  圆轴扭转时的应力

3.1.4 圆轴扭转时的应力

(1)横截面上距圆心为ρ的任意点的切应力:τρ=Tρ/Ip

(2)最大切应力:τmax=TR/Ip=T/Wt,其中Wt=Ip/R,称为抗扭截面系数。

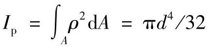
(3)圆形截面极惯性矩Ip和抗扭截面系数Wt计算

1)实心圆截面:978-7-111-43425-2-Chapter03-3.jpgWt=Ip/ρmaxd3/16;

2)空心圆截面:IpD4(14)/32,WtD3(14)/16,其中α=d/D

(4)圆轴的抗扭强度条件:τmax=Tmax/Wt≤[τ]。

(5)强度条件的应用:强度校核、截面设计和确定许用载荷。