7.2.2  平面应力状态分析

7.2.2 平面应力状态分析

(1)斜截面上的应力计算公式中正负符号的约定

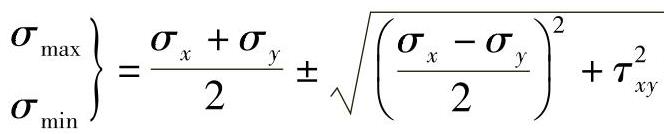
平面应力状态下,计算σατα的公式中,如图7-1所示,α角以自x轴逆时针转至外法线n为正,反之为负。正应力以拉为正,压为负;切应力使微元或其局部产生顺时针方向转动趋势者为正,反之为负。

(2)图解法的应用

1)公式的记忆功能

978-7-111-43425-2-Chapter07-28.jpg978-7-111-43425-2-Chapter07-29.jpg为应力圆圆心横坐标。

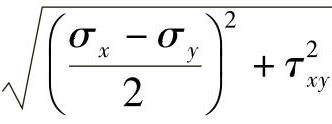
978-7-111-43425-2-Chapter07-30.jpg978-7-111-43425-2-Chapter07-31.jpg为应力圆半径。

2)求单元体上任一截面上的应力。单元体某一面上的应力,必对应于应力圆上某一点的坐标,圆周上任意两点所引半径的夹角等于单元体上对应两截面夹角的两倍,两者的转向一致。

3)求主应力数值和主平面位置,求最大切应力。