11.1.4 影响构件持久极限的因素
实际构件与光滑小试样的几何形状、尺寸大小及表面加工质量等都有所不同,因此在计算构件的疲劳强度时,必须考虑这些因素对构件持久极限的影响。影响构件持久极限的主要因素有:
(1)应力集中的影响
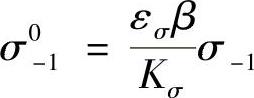
应力集中对持久极限的影响用有效应力集中因数Kσ来度量(Kσ>1),有效应力集中因数和构建的几何形状及材料性质有关。
(2)尺寸大小的影响
尺寸大小的影响用尺寸因数εσ度量(εσ<1)。
(3)表面质量的影响
表面加工质量对持久极限的影响用表面质量因数β度量。
综合考虑上述三种影响因素,构件在对称循环下的持久极限为

式中,σ-1为表面磨光的光滑小试样的持久极限。