城市经济增长差异的测度方法

(一)城市经济增长差异的测度方法

本部分将以珠三角各城市2011~2020年的经济发展数据为样本,对珠三角经济增长的差异性和收敛性进行计量分析。首先对珠三角各城市的经济增长差异进行测度。目前关于经济增长差异的测度方法很多,基本可分为两大类:绝对差异法和相对差异法。

1.绝对差异法

绝对差异法主要包括平均差、标准差和极差等方法,下面对其进行详细分析。

平均差也叫离差的算数平均数,是用样本中各变量值与其均值的绝对离差的平均数计算而成。其计算公式如下所示:

上式中,A表示平均差,n表示样本中城市的数量,yi表示i城市的人均国内生产总值,y—表示所有样本城市人均国内生产总值的平均值。

标准差是指样本中各变量值与样本均值的离差平方的平均数的算术平方根,其数值越大,说明偏离平均值就越远,意味着城市间的测量指标的绝对差异也越大。其计算公式如下所示:

上式中,S表示标准差,n表示选择的样本数量,yi表示i城市的人均国内生产总值,y—表示各样本城市人均国内生产总值的平均数。

极差是指每组样本数据自身的极大值与极小值的差距,用来表示样本变量的波动范围以及波动幅度。其计算公式如下所示:

上式中,B表示样本的极差,Ymax表示所选样本城市中人均国内生产总值最高的城市的人均GDP,Ymin表示所选样本城市中人均国内生产总值最低的城市的人均GDP。

2.相对差异法

相对差异法主要包括极差值率、基尼系数和“倒U”型假说等方法,下面对其进行详细分析。

极差值率是指样本中的每组数据自身的极大值与极小值之比,用来表示经济最发达城市的人均国内生产总值与最落后城市的人均国内生产总值的比值。其计算公式如下所示:

上式中,表示样本的极差值率,Ymax表示所选样本城市中人均国内生产总值最高的城市的人均GDP,Ymin表示所选样本城市中人均国内生产总值最高的城市的人均GDP。

基尼系数是用来反映一个国家或地区收入分配公平情况的指标,其基本原理是用一定人口所拥有财富占总财富的比例,来表示收入分配的总体差距。其计算公式如下所示:

上式中,G表示基尼系数,n表示所选样本城市的数量,yi表示i城市的人均国内生产总值,μy表示居民的人均收入。

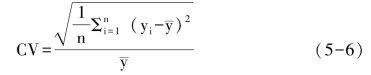
变异系数是用来测度样本离散程度的理想指标之一,其计算原理是标准差和均值的比值。具体如下所示:

上式中,n表示所选样本城市的数量,yi表示i城市的人均国内生产总值,y—表示各样本城市人均国内生产总值的平均数。

3.“倒U”型假说

“倒U”型假说是西蒙·库兹涅茨于20世纪50年代提出来的,该假说认为,随着经济的发展,人们的收入差距会随之发生变化。具体表现为在经济发展的早期阶段收入差距会迅速拉大,随着经济的进一步发展,收入差距扩大的速度会放缓,进入一个相对稳定的时期,度过稳定期后,收入差距开始反向运动,也即差距会逐步缩小。将收入差距的这种运动轨迹用图形表示出来就是所谓的“倒U”型。对于这一假说,学术界虽有争议,但也得到许多学者的实证检验,该假说在实际中仍得到广泛应用。