欧拉方程
变系数的线性微分方程,一般说来都是不容易求解的.但是有些特殊的变系数线性微分方程,则可以通过变量代换化为常系数线性微分方程,因而容易求解,欧拉方程就是其中的一种.
形如

的方程(其中,p1,p2…pn为常数),叫做欧拉方程.
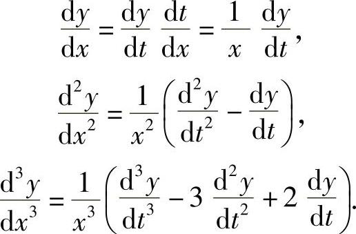
作变换x=et或t=lnx,将自变量x换成t,有

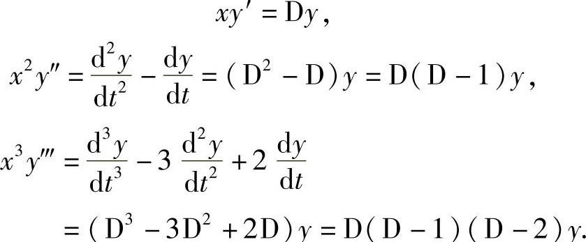
如果采用记号D表示对t求导的运算
,那么上述计算结果可以写成

一般地,有
xky(k)=D(D-1)…(D-k+1)y.
把它代入欧拉方程式(6-20),便得一个以为自变量的常系数线性微分方程.在求出这个方程的解后,把t换成lnx(注:这里仅在x>0范围内求解.如果要在x<0内求解,则可作变换x=-et或t=ln(-x),所得结果与x>0内的结果相类似.),即得原方程的解.
例1 求欧拉方程x3y‴+x2y″-4xy′=3x2的通解.
解 作变换x=et或t=lnx,原方程化为
D(D-1)(D-2)y+D(D-1)y-4Dy=3e2t,
即D3y-2D2y-3Dy=3e2t,或
方程式(6-21)所对应的齐次方程为

其特征方程为
r3-2r2-3r=0,它有3个根:r1=0,r2=-1,r3=3.于是方程式(6-22)的通解为

设特解为
y∗=be2t=bx2,(https://www.daowen.com)
代入原方程,求得
,即

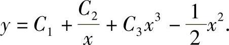
于是,所给欧拉方程的通解为

注:这是在x>0内所求得的通解.容易验证,在x<0内,它也是所给方程的通解.
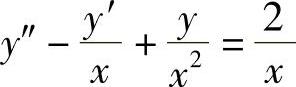
例2 求方程
的通解.
解 方程变形为
x2y″-xy′+y=2x,它是欧拉方程,作变换x=et或t=lnx,原方程化为
D(D-1)y-Dy+y=2et.
即D2y-2Dy+y=2et.
或
方程式(6-23)所对应的齐次方程为

其特征方程为
r2-2r+1=0,它有两个根:r1=r2=1.于是方程式(6-24)的通解为
Y=(C1+C2t)et.
设特解为
y∗=t2Aet,
y∗′=Aet(2t+t2),y∗″=Aet(2+2t+2t+t2),将它们代入原方程,求得A=1,即
y∗=t2et.
于是,所给方程的通解为
Y=(C1+C2t)et+t2et=(C1+C2lnx)x+xln2x.