几类可降阶的二阶微分方程
一、y″=f(x)型
如
属此类型,只要积分两次就可得出通解
,可由初始条件确定这两个任意常数而得到特解.
一般地,对n阶方程
y(n)=f(x),积分n次便可得到通解

二、y″=f(x,y′)型
特点:方程右端不明显地含未知函数y.
令y′=p(x),则y″=p′(x)代入原方程得
p′(x)=f(x,p(x)),它是关于未知函数p(x)的一阶微分方程.这种方法叫做降阶法.解此一阶方程可求出其通解
p=p(x,C1).
由关系式y′=p(x)积分即得原方程的通解为
y=∫p(x,C1)dx+C2(C1,C2两个任意常数).
例1 求方程y″-y′=ex的通解.
解 令y′=p(x),则
,原方程化为
.
这是一阶线性微分方程.由通解公式易得通解
y′=p(x)=ex(x+C1).
故原方程通解为
y=∫ex(x+C1)dx
=xex-ex+C1ex+C2
=ex(x-1+C1)+C2.
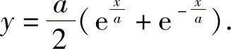
例2 设有一均匀且柔软的绳索,两端固定,绳索仅受重力的作用而下垂.试问该绳索在平衡状态时是怎样的曲线?

图6-4
解 设绳索的最低点为A.取y轴通过A点铅直向上,并取x轴水平向右,且OA等于某个定值(这个定值将在以后说明).设绳索曲线的方程为y=φ(x).考察绳索上点A到另一点M(x,y)间的一段弧
,设其长为s.假定绳索的线密度为ρ,则弧
所受重力为ρgs.由于绳索是柔软的,因而在点A处的张力沿水平方向的切线方向,其大小设为H;在点M处的张力沿该点处的切线方向,设其倾角为θ,其大小为T(见图6-4).因作用于弧段
的外力相互平衡,把作用于弧
上的力沿铅直及水平两方向分解,得
Tsinθ=ρgs,Tcosθ=H.
将此两式相除,得

由于
代入上式即得(https://www.daowen.com)

将上式两端对x求导,便得y=φ(x)满足的微分方程

取原点O到点A的距离为定值a,即|OA|=a,那么初始条件为

下面来解方程(6-17).
方程式(6-17)属于y″=f(x,y′)的类型.设y′=p(x),则
,代入方程式(6-17),并分离变量,得

两端积分,得

把条件y′|x=0=|px=0=0代入式(6-18),得
C1=0,于是式(6-18)成为

解得
,即
.
上式两端积分,便得

将条件y|x=0=a代入式(6-19),得
C2=0.
于是该绳索的形状可由曲线方程

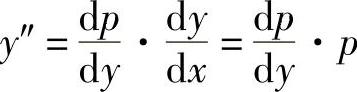
来表示.这曲线叫做悬链线.三、y″=f(y,y′)型
特点:方程右端不明显地含自变量x.
令y′=p(y),则
,故原方程化为
.
这是关于未知函数p(y)的一阶微分方程,设所求出的通解为p=p(y,C1),即有
,用分离变量法解此方程,可得原方程的通解为y=y(x,C1,C2).
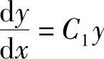
例3 求方程yy″-(y′)2=0的通解.
解 作代换y′=p(y),则
,原方程化为

在y≠0、p≠0时,约去p并分离变量有
,积分得ln|p|=ln|y|+C,所以p=C1y(C1=±eC),即
.
再分离变量,求积分得原方程通解为ln|y|=C1x+C2′,即
y=C2eC1x(C2=±eC2′).