习题6.4

习题6.4

1.验证y1=cosωxy2=sinωx都是微分方程y″+ω2y=0的解,并写出该方程的通解.

2.验证y1=ex2y2=xex2都是微分方程y″-4xy′+(4x2-2)y=0的解,并写出该方程的通解.

3.已知y1=3,y2=3+x2y3=3+x2+ex都是微分方程(x2-2xy″-(x2-2)y′+(2x-2)y=6x-6的解,求该方程的通解.

4.已知y1=cosxy2=sinx都是微分方程y″+y=0的解,y=x2-2是y″+y=x2的解,求y″+y=0的通解.

5.求下列微分方程的通解或在给定条件下的特解:

1)y″-2y′-3y=0;

2)y″+4y′+4y=0;

3)y″+2y′+5y=0;

4)y″+3y′+2y=0,y′|x=0=1,y|x=0=1;

5)y″+25y=0,y′|x=0=5,y|x=0=2;

6)4y″+4y′+y=0,y′|x=0=0,y|x=0=2.

6.求下列微分方程的通解或在给定条件下的特解:

1)y″-5y′+6y=xex

2)y″-2y′-3y=3x+1;

3)y″+y=2x+1;

4)y″-2y′+5y=cos2x

5)y″+y′-2y=e-2xsinx.

6)y″-2y′-e2x=0,y′|x=0=1,y|x=0=1.

7.设函数y=yx)满足y″-3y′+2y=2ex,且其图像在点(0,1)处的切线与曲线y=x2-x+1在该点的切线重合,求函数y=yx).

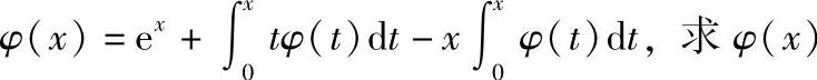
8.设函数φx)连续,且满足978-7-111-33187-2-Chapter06-193.jpg.