函数图形的描绘
一、渐近线
首先介绍曲线的渐近线,它规范着无穷远处函数曲线的走向.
定义3.5 若曲线上的一点沿着曲线趋于无穷远处时,该点到某直线的距离趋于零,则称此直线为曲线的渐近线.
按直线的走向,渐近线可分为3种,即水平渐近线、铅直渐近线和斜渐近线.
1)水平渐近线:平行于x轴的渐近线称为水平渐近线.
设曲线y=f(x)的定义域是无限区间,若
或
(b为常数),则y=b就是曲线y=f(x)的一条水平渐近线.
2)铅直渐近线:垂直于x轴的渐近线叫做铅直渐近线.
若
或
,则直线x=x0就是曲线y=f(x)的一条铅直渐近线.
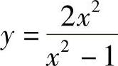
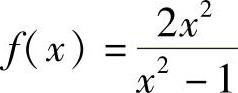
例1 求曲线
的水平和铅直渐近线.
解 因为
,所以y=2为曲线的水平渐近线;又因为
,所以x=1为曲线的铅直渐近线(见图3-11).
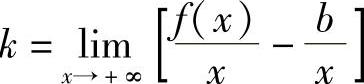
3)斜渐近线:既不平行也不垂直于x轴的渐近线.

图3-11
设直线y=kx+b是曲线y=f(x)在x→+∞时的一条斜渐近线,由定义,有
,则
;又
,即
,则
.
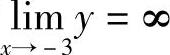
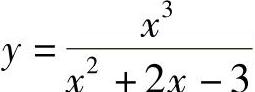
例2 求曲线
的渐近线.
解 因为
,
,所以有铅直渐近线为x=-3和x=1;又因为
,
,故y=x-2为曲线的斜渐近线(见图3-12).
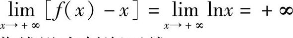
例3 讨论曲线y=x+lnx的渐近线.
解 因为
,所以曲线没有水平渐近线;
,所以x=0是曲线的一条铅直渐近线.
又因为
,但是所以
.
所以,曲线没有斜渐近线.

图3-12
二、函数图形的描绘
由前面几节关于函数的各种形态的讨论,可以描绘出函数的基本图形.
主要步骤:
1)确定函数的定义域;
2)讨论函数的一些基本性质,如奇偶性、周期性等;
3)求出f′(x)和f″(x)的零点和不存在的点,用所求出的点把定义域分成若干区间,列表确定函数的单调性、凹凸性、极值点和拐点;
4)确定函数的渐近线;
5)在直角坐标系中,标明一些关键点的坐标,画出渐进线,按照曲线的性态逐段描绘.
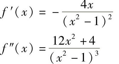
例4 作出函数
的图像.(https://www.daowen.com)
解 1)
的定义域为(-∞,-1)∪(-1,1)∪(1,+∞);
2)f(x)为偶函数,无周期性;
3)
f(x)和f′(x)的零点是x=0,在x=±1处,f(x)、f′(x)和f″(x)均不存在;
4)用-1、0、1这3个点把定义域分为四个区间,并列表如下:

5)考察曲线的渐近线:
由于
,
,所以x=±1均是铅直渐近线;因为xl→im∞f(x)=2,所以y=2是一条水平渐近线.
6)绘出函数
的图像(见图3-13)
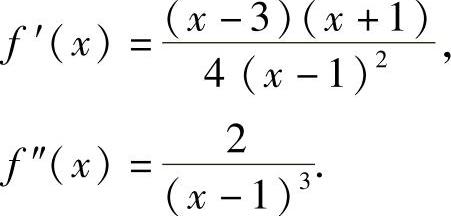
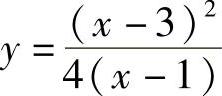
例5 作出函数
的图像.
解 f(x)的定义域为(-∞,1)∪(1,+∞);f(x)为非奇非偶函数,也无周期性;


图3-13
f′(x)的零点是x1=-1和x2=3,f″(x)无零点,列表如下:

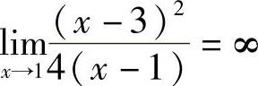
考察曲线的渐近线:

所以x=1是铅直渐近线.

所以
是f(x)的斜渐近线.
综合上述讨论,绘出该函数的图像(见图3-14).
例6 作出函数
的图像.

图3-14
解 f(x)的定义域是(-∞,+∞),f(x)为偶函数关于y轴对称,因此只要讨论[0,+∞)即可,f(x)无周期性;
,
,f′(x)的零点是0,f″(x)的零点是±1,它们把定义域分成三个区间,在[0,+∞)区间列表如下:

因为
,所以x轴是水平渐近线.
综合上述讨论,绘出函数的图像(见图3-15).

图3-15