7.2.1 异常股价分析
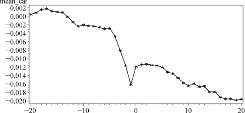
图7-1和图7-2直观显示了全样本在事件日前后逐日异常收益率和累计收益率特征。从图7-1可以看出,在T-4日和T-1日之间,出现了连续的负的异常收益率,且事件日前形成波谷。在T0当日出现了一个明显的正收益,市场应该理解为,解禁靴子落地,利空变为利好。在T-4日之前和T-1日之后,逐日异常收益率呈现随机特征。图7-2显示T-4日开始,日累计异常收益率出现负向大幅下跌,直到T0和T1短时间转为正,然后从T3天开始一直持续到T10天,日累计异常收益率又继续下跌,直到第T20都没有出现显著反转,说明解禁事件对收益有一定持续性。

图7-1 事件日前后逐日异常收益率

图7-2 事件日前后累计异常收益率
表7-1详细列出了估计时间窗口内每天平均异常收益率(average abnormal return,下面都用简写AAR表示)以及T检验的值,我们从表7-1可以看出,在T-4日AAR为-0.001 85,和之前的相比,出现明显大幅的跃升,其中T-1日的值达到了-0.004 49,达到了日负异常收益的最大值,但是在T0日出现了一个正的0.004 172的异常收益,T1日T2日略为正的异常收益,随后日异常收益一直都为负或接近于0的状态。(https://www.daowen.com)
表7-1 事件日前后逐日异常收益率

表7-2给出了不同事件窗的异常收益水平,可以发现,-4天之前的累积异常收益(cumulative abnormal return,下面都用简写CAR表示)虽然符号为负,但是幅度很小且不显著,我们可以认为在-4天之前,解禁事件对股票收益没有显著影响。从-4天开始,单个时间日出现显著为负的异常收益,在-1天出现了最小值-0.45%,说明解禁前一日对股票异常收益影响最大。同时,在[-20,-4]天CAR为负的公司仅占53%左右,而-4天到-1天的单日异常收益为负的公司比例从57%上升到60%左右,说明接近事件日期时,解禁事件对股票异常收益水平有更普遍的影响。从CAR的幅度来看,[-3,0]天以及[6,20]天的CAR均大于0.7%,[-20,20]天的累积异常收益为-3.98%,这说明负的CAR在不同事件窗都存在。
表7-2 事件日前后累计日异常收益率
