测量与误差的基本概念
1.测量分类
根据获得测量结果方法的不同,测量可以分为直接测量和间接测量。
由仪器或量具直接与待测量进行比较读数,称为直接测量。如用米尺测量物体的长度,用安培表测量电流强度等所得到的相应物理量称为直接测量量。
在大多数情况下,需要借助一些函数关系由直接测量量计算出所要求的物理量,这样的测量称为间接测量,相应的物理量称为间接测量量。如钢球的体积V 可由直接测得的直径D,由公式V=πD3/6计算得到,这里D 为直接测量量,V 为间接测量量。在误差分析和估算中,要注意直接测量量与间接测量量的区别。
2.测量误差
物理量在客观上存在确定的数值,称为真值。然而,实际测量时,由于实验条件、实验方法和仪器精度等的限制或者不够完善,以及实验人员技术水平的限制,使得测量值与客观上存在的真值之间有一定的差异。为描述测量中这种客观存在的差异性,可以引进测量误差的概念。
误差就是测量值与客观真值之差。即:误差=测量值-真值。
被测量量的真值是一个理想概念。一般来说,真值是不知道的(否则就不必进行测量了)。为了对测量结果的误差进行估算,我们用约定真值来代替真值求误差。所谓约定真值就是被认为是非常接近真值的值,它们之间的差别可以忽略不计。一般情况下,常把多次测量结果的算术平均值、标称值、校准值、理论值、公认值、相对真值等均可作为约定真值来使用。
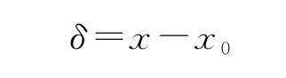
上面定义的误差是绝对误差。在没有特别指明时,误差就是用绝对误差来表示。设测量值的真值为x0,则测量值x 的绝对误差

但有些问题往往需要用相对误差表示。例如,用同一仪器测量10m 长相差1mm 与测量100m 相差1mm,其绝对误差相同。显然,只有绝对误差还难以评价测量结果的可靠程度,因此引入相对误差的概念。相对误差是绝对误差与真值之比,真值不能确定则用约定真值。在近似情况下,相对误差也往往表示为绝对误差与测量值之比。相对误差常用百分数表示。即

因此,在测量过程中,我们要建立起误差永远伴随测量过程始终的实验思想。