【实验原理】
1.示波管的结构
示波管结构如图2-55所示,示波管包括:①一个电子枪,它发射电子,把电子加速到一定速度,并聚焦成电子束;②一个由两对金属板组成的偏转系统;③一个在管子末端的荧光屏,用来显示电子束的轰击点。所有部件全都密封在一个抽成真空的玻璃外壳里,目的是为了避免电子与气体分子碰撞而引起电子束散射。

图2-55 示波管结构示意图
H—钨丝加热电极;C—阴极;G—控制栅极;FA—聚焦电极;A1—第一加速阳极;
A2—第二加速阳极;X1、X2—水平偏转板;Y1、Y2—垂直偏转板
接通电源后,灯丝发热,阴极发射电子。栅极加上相对于阴极的负电压,它有两个作用:一方面调节栅极电压的大小控制阴极发射电子的强度,所以栅极也称控制极;另一方面栅极电压和第一阳极电压构成一定的空间电位分布,使得由阴极发射的电子束在栅极附近形成交叉点。第一阳极和第二阳极的作用一方面构成聚焦电场,使得经过第一交叉点又发散了的电子在聚焦场作用下又会聚起来;另一方面使电子加速,电子以高速打在荧光屏上,屏上的荧光物质在高速电子轰击下发出荧光,荧光屏上的发光亮度取决于到达荧光屏的电子数目和速度,改变栅压及加速电压的大小都可控制光点的亮度。水平、垂直偏转板是互相垂直的平行板,偏转板上加以不同的电压,用来控制荧光屏上亮点的位置。
2.电子束电偏转原理
在示波管偏转板上加上偏转电压V,当加速后的电子以速度v 沿x 方向进入偏转板后,受到偏转电场E(y 轴方向)的作用,使电子的运动轨道发生偏移。假定偏转电场在偏转板l 范围内是均匀的,电子作抛物线运动,在偏转板外,电场为零,电子不受力,作匀速直线运动,如图2-56所示。在偏转板之内

式中:v 为电子在加速电压UA作用下获得的初速度;y 为电子束在y 方向的偏转。

图2-56 电偏转原理
加速电压对电子所做的功全部转为电子动能,则

将E=V/D 和v2代入式(2-48),得

电子离开偏转系统时,电子运动的轨道与x 轴所成的偏转角φ 的正切为

设偏转板的中心至荧光屏的距离为L,电子在荧光屏上的偏离为S,则

由式(2-50)知,电子束的偏转距离S 与偏转电压V 成正比,与加速电压UA成反比,由于式(2-50)中的其他量是与示波管结构有关的常数,故可写成

式(2-51)中,ke为与示波管结构参数有关的电偏常数。因此当加速电压UA一定时,偏转距离与偏转电压呈线性关系。为了反映电偏转的灵敏程度,定义,δe称为电偏转灵敏度,单位为mm/V。
3.电子束电聚焦原理
图2-57所示为电子枪各个电极的截面,加速场和聚焦场主要存在于各电极之间的区域。图2-58所示为A1和A2这个区域放大了的截面图,其中画出了一些等位面截线和一些电力线。从A1出来的横向速度分量为vr的具有离轴倾向的电子,在进入A1和A2之间的区域后,被电场的横向分量推向轴线。与此同时,电场E 的轴向分量Ez使电子加速;当电子向A2运动,进入接近A2的区域时,那里的电场E 的横向分量Er有把电子推离轴线的倾向。但是由于电子在这个区域比前一个区域运动得更快,向外的冲量比前面的向内的冲量要小,所以总的效果仍然是使电子靠拢轴线。

图2-57 静电透镜

图2-58 电聚焦原理图
4.电子束磁偏转原理
磁偏转原理如图2-59所示。通常在示波管的电子枪和荧光屏之间加上均匀横向偏转磁场,假定在l范围内是均匀的,在其他范围都为零。当电子以速度v 沿x 方向垂直射入磁场B 时,将受到洛伦兹力的作用在均匀磁场B 内电子作匀速圆周运动,轨道半径为R,电子穿出磁场后,将沿切线方向作匀速直线运动,最后打在荧光屏上,由牛顿第二定律得

图2-59 磁偏转原理

电子离开磁场区域与Z 轴偏斜了θ 角度,由图2-59中的几何关系得

电子束离开磁场区域时,距离x 轴的大小α 为

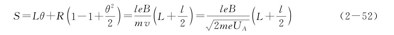
电子束在荧光屏上离开x 轴的距离为

如果偏转角度θ 足够小,则可取下列近似

则总偏转距离

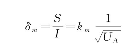
式(2-52)说明,磁偏转的距离与所处磁感应强度B 成正比,与加速电压UA的平方根成反比。
由于偏转磁场是由一对平行线圈产生的,所以有

式中:I 为线圈中的励磁电流;K 为与线圈结构和匝数有关的常数。
则

式(2-53)中,km为磁偏常数。
因此加速电压一定时,磁偏转的距离与励磁电流呈线性关系。为了描述磁偏转的灵敏程度,定义

δm称为磁偏转灵敏度,单位为mm/mA。
5.电子束磁聚焦和电子荷质比的测量原理
置于长直螺线管中的示波管,在不受任何偏转电压的情况下,示波管正常工作时,调节亮度和聚焦,可在荧光屏上得到一个小亮点。若第二加速阳极A2的电压为UA,电子的轴向(Z 轴方向)运动速度用vz表示。则有

给Y 轴偏转板加数十伏的交流电压,电子将获得垂直于轴向的径向速度(用vr表示),此时荧光屏上便出现一条直线,随后给长直螺线管通直流电流I,于是螺线管内便产生磁场,其磁场感应强度用B 表示。如果逐渐增大磁场电流I,亮线将一边旋转,一边缩短,最后缩成一个亮点,实现了磁聚焦。若继续增大电流I,还会实现2次、3次聚焦。

图2-60 4个电子到达屏幕时的情形
上述实验现象可解释如下:电子束被电聚焦后,所有的电子基本都以速度vz沿Z 轴作匀速直线运动射向荧光屏,径向速度基本为零。由于电子束很细,可近似认为从第二阳极A2射出的电子束的截面是一个“点”。 给Y 轴偏转板加数十伏的交流电压,电子将获得垂直于轴向的径向速度(用vr表示),相继从Y 轴偏转板同一点射出的电子径向速度不同,而且方向有正、有负(因为偏转电压是正弦交流电压)。当给电子束加某一纵向(Z 轴方向)磁场B 后,具有了径向速度的这些电子开始作螺旋运动。由于螺旋运动的周期与径向速度无关,所以这些电子具有相同的回转周期T 和相同的螺距h。只是由于径向速度的大小不同,因而回转半径不同而已。这样当这些电子到达荧光屏时,它们绕各自的螺线轴心转过了相同的角度φ,从而落到屏上的同一条直线上;同时这条直线相对于Y 轴转过了θ 角。图2-60中画出了4个电子到达屏幕时的情形。可清楚看出,它们落在屏上的4个点P1、P2、P'1、P'2在同一条直线上,而这条直线相对y 轴转过了θ 角,φ=2θ。当B 增加时,这条亮线继续旋转,且由式(2-57)可知,B 的增加,将使回转半径减小。因而光屏上的一条亮线随B 的增加一边旋转,一边缩短。当φ=2π时,恰好l=h,电子束就被纵向磁场聚焦成一个亮点。图2-61画出了θ 由0变到π的过程中,亮线的变化情形。

图2-61 屏上的亮线随B 的增加边旋转边缩短情形形
众所周知,运动电子在磁场中要受到洛伦兹力F=evrB 的作用(vz方向受力为零),这个力使电子在垂直于磁场(也垂直于螺线管轴线)的平面内作圆周运动,设其圆周运动的半径为R,则有

圆周运动的周期为

电子既在轴线方面作直线运动,又在垂直于轴线的平面内作圆周运动。它的轨道是一条螺旋线,其螺距用h 表示,则有

从式(2-56)、式(2-57)可以看出,电子运动的周期和螺距均与径向速度vr无关。虽然各个点电子的径向速度不同,但由于轴向速度vz相同,由一点出发的电子束,经过一个周期以后,它们又会在距离出发点相距一个螺距的地方重新相遇,这就是磁聚焦的基本原理,由式(2-57)可得

长直螺线管的磁感应强度B,可以由下式计算

当螺线管为有限长时,需引入修正系数η,得B 的平均值

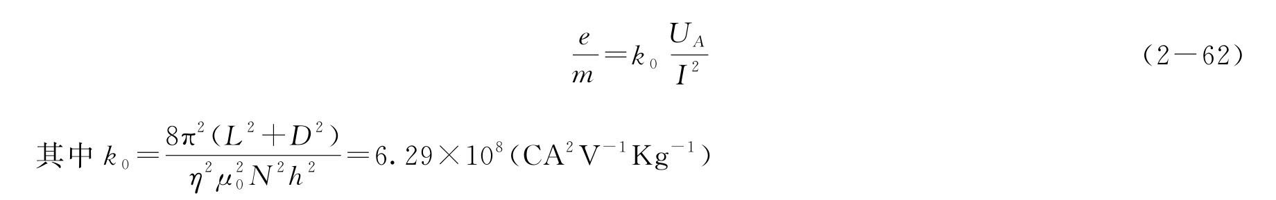
将式(2-59)、式(2-60)代入式(2-58),可得电子荷质比为

真空中的磁导率μ0=4π×10-7H/m。
本仪器的其他参数如下:
螺线管的线圈匝数:N=535匝。
螺线管的长度:L=0.235m。
螺线管的直径:D=0.092m。
螺距(Y 轴偏转板至荧光屏距离)h=0.135m。
修正系数η=0.985。
将仪器所有参数代入式(2-60),得到电子荷质比实验计算式
