【实验原理】
1.太阳能电池的结构
以晶体硅太阳能电池为例,其结构示意图如图2-87所示。晶体硅太阳能电池以硅半导体材料制成大面积pn结进行工作。一般采用n+/p同质结的结构,如在约10c m×10c m 面积的p型硅片(厚度约500μm)上用扩散法制作出一层很薄(厚度0.3μm)的经过重参杂的n型层。然后在n型层上面制作金属栅线,作为正面接触电极。在整个背面也制作金属膜,作为背面欧姆接触电极。这样就形成了晶体硅太阳能电池。为了减少光的反射损失,一般在整个表面上再覆盖一层减反射膜。

图2-87 晶体硅太阳能电池的结构示意图
2.光伏效应
当光照射在距太阳电池表面很近的pn 结时,只要入射光子的能量大于半导体材料的禁带宽度Eg,则在p区、n区和结区光子被吸收会产生电子-空穴对。那些在结附近n区中产生的少数载流子由于存在浓度梯度而要扩散。只要少数载流子离pn结的距离小于它的扩散长度,总有一定几率扩散到结界面处。在p区与n区交界面的两侧即结区,存在一空间电荷区,也称为耗尽区。在耗尽区中,正负电荷间形成电场,电场方向由n区指向p区,这个电场称为内建电场。这些扩散到结界面处的少数载流子(空穴)在内建电场的作用下被拉向p区。同样,如果在结附近p区中产生的少数载流子(电子)扩散到结界面处,也会被内建电场迅速拉向n区。结区内产生的电子-空穴对在内建电场的作用下分别移向n区和p区。如果外电路处于开路状态,那么这些光生电子和空穴积累在pn结附近,使p区获得附加正电荷,n区获得附加负电荷,这样在pn结上产生一个光生电动势。这一现象称为光伏效应(photovoltaic effect)。
3.太阳能电池的表征参数
太阳能电池的工作原理基于光伏效应。当光照射太阳电池时,将产生一个由n区到p区的光生电流Iph。同时,由于pn结二极管的特性,存在正向二极管电流ID,此电流方向从p区到n区,与光生电流相反。因此,实际获得的电流I 为

式中:VD为结电压;I0为二极管的反向饱和电流;Iph为与入射光的强度成正比的光生电流,其比例系数是由太阳能电池的结构和材料的特性决定的;n 为理想系数(n 值),是表示pn结特性的参数,通常在1~2之间;q 为电子电荷;kB为玻尔兹曼常数;T 为温度。
如果忽略太阳能电池的串联电阻Rs,VD即为太阳能电池的端电压V,则式(2-79)可写为

当太阳能电池的输出端短路时,V=0(VD≈0),由式(2-80)可得到短路电流

即太阳能电池的短路电流等于光生电流,与入射光的强度成正比。当太阳能电池的输出端开路时,I=0,由式(2-80)和式(2-81)可得到开路电压

当太阳能电池接上负载R 时,所得的负载伏-安特性曲线如图2-88所示。负载R 可以从零到无穷大。当负载Rm使太阳能电池的功率输出为最大时,它对应的最大功率P为

式中:Im为最佳工作电流;Vm为最佳工作电压。
将Voc与Isc的乘积与最大功率Pm之比定义为填充因子FF,则

FF 为太阳能电池的重要表征参数,FF 越大则输出的功率越高。FF 取决于入射光强、材料的禁带宽度、理想系数、串联电阻和并联电阻等。
太阳能电池的转换效率η 定义为太阳能电池的最大输出功率与照射到太阳能电池的总辐射能Pin之比。
4.太阳能电池的等效电路
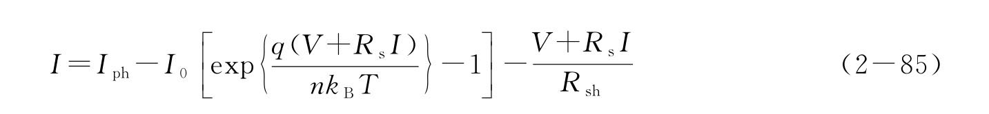
太阳能电池可用pn结二极管D、恒流源Iph、太阳能电池的电极等引起的串联电阻Rs和相当于pn结泄漏电流的并联电阻Rsh组成的电路来表示,如图2-89所示,该电路为太阳能电池的等效电路。由等效电路图可以得出太阳能电池两端的电流和电压的关系为

为了使太阳能电池输出更大的功率,必须尽量减小串联电阻Rs,增大并联电阻Rsh。

图2-88 太阳能电池的伏-安特性曲线

图2-89 太阳能电池的等效电路