【实验内容与步骤】
1.必做内容
(1)测量有源非线性电阻的伏-安特性并画出伏-安特性图。由于非线性电阻是含源的,测量时不用电源,用电阻箱调节,伏-安表并联在非线性电阻两端,再和电阻箱串联在一起构成回路。尽量多测数据点,将测量点分段连成直线。
(2)倍周期现象、周期性窗口、单吸引子和双吸引子的观察、记录和描述。将电容C1和C2上的电压输入到示波器的X 轴、Y 轴,先把R0调到最小,示波器上可以观察到一条直线,调节R0,直线变成椭圆,到某一位置,图形缩成一点。增大示波器的倍率,反向微调R0,可见曲线作倍周期变化,曲线由一周期增为二周期,由二周期增为四周期……直至一系列难以计数的无首尾的环状曲线,这是一个单涡旋吸引子集,再细微调节R0,单吸引子突然变成了双吸引子,只见环状曲线在两个向外涡旋的吸引子之间不断填充与跳跃,这就是混沌研究文献中所描述的“蝴蝶”图像,也是一种奇怪吸引子,它的特点是整体上的稳定性和局域上的不稳定性同时存在。利用这个电路,还可以观察到周期性窗口,仔细调节R0,有时原先的混沌吸引子不是倍周期变化,却突然出现了一个三周期图像,再微调R0,又出现混沌吸引子,这一现象称为出现了周期性窗口。混沌现象的另一个特征是对于初值的敏感性。观察并记录不同倍周期时UC1-t图和R0的值。

图3-26 测量电感的电路
2.选做内容
测量一个铁氧体电感器的电感量
(1)按图3-22所示电路接线。其中电感器L 由实验者用漆包铜线手工缠绕。可在线框上绕75~85圈,然后装上铁氧体磁芯,并用刀片把引出漆包线端点上的绝缘漆刮去,使两端点导电性能良好。也可以用仪器附带铁氧体电感器。
(2)串联谐振法测电感器电感量。如图3-26所示,把自制电感器、电阻箱(取30.00Ω)串联,并与低频信号发生器相接。用示波器测量电阻两端的电压,调节低频信号发生器正弦波频率,使电阻两端电压达到最大值。同时,测量通过电阻的电流值I。要求达到I=5mA(有效值)时,测量电感器的电感量。
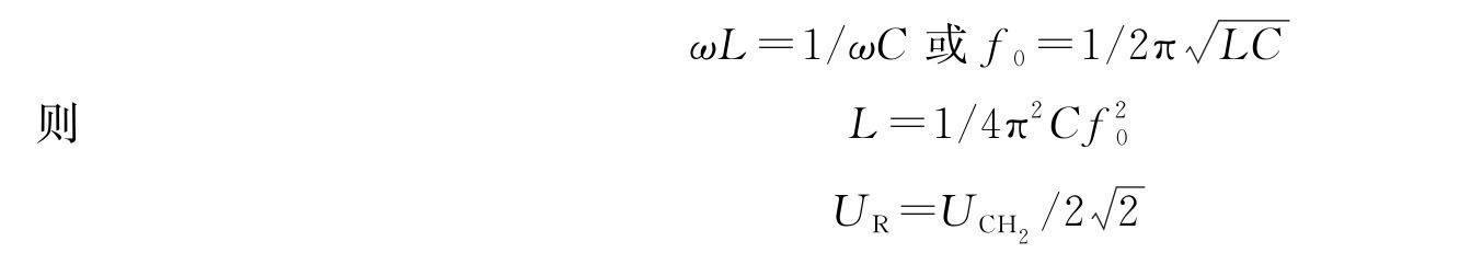
(3)测量电感L 特性的方法。用CH2测量R 两端电压。保持信号发生器输出电压不变,调节频率,当CH2测得的电压最大时,RLC串联电路达到谐振。电感谐振时有

回路中电流的有效值I=UR/R,其中f0为谐振频率,UCH2表示CH2波形的峰-峰电压,UR表示电阻R 两端输出的电压。测量不同电流I 对应电感量L。