【数据与结果】
2025年09月26日
【数据与结果】

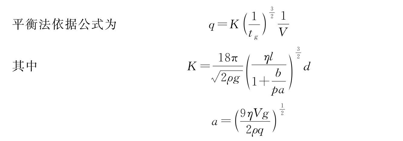
油的密度 ρ=981kg·m-3
重力加速度 g=9.80m·s-2
空气黏滞系数 η=1.83×10-5kg·m-1·s-1
油滴匀速下降距离 l=2.00×10-3m
修正常数 b=6.17×10-6m·cmHg
大气压强 p=76.0cmHg
平板极板间的距离 d=5.00×10-3m
式中的时间tg应为测量数次时间的平均值。实际大气压由气压表读出。
将上述数据代入式(3-16)得油滴的电荷量

计算出各油滴的电荷后,求它们的最大公约数,即为基本电荷e 值。若求最大公约数有困难,可用作图法求e 值,设实验得到m 个油滴的带电量分别为q1,q2,…,qm,由于电荷的量子化特性,应有qi=nie,此为一直线方程,n 为自变量,q 为因变量,e 为斜率。因此n 个油滴对应的数据在n~q 坐标中将在同一条直线上,若找到满足这一关系的直线,就可用斜率求得e 值。
将e 的实验值与公认值比较,求百分误差。
注:用式(3-17)计算q 虽然是近似的,却极其方便。原因是油的密度、空气的黏滞系数都是温度的函数,重力加速度和大气压强随实验地点和条件而变化。用式(3-16)可准确计算油滴电荷量,但要查当时温度下油的密度、空气的黏滞系数及大气压强。