【实验原理】
1.非平衡电桥原理
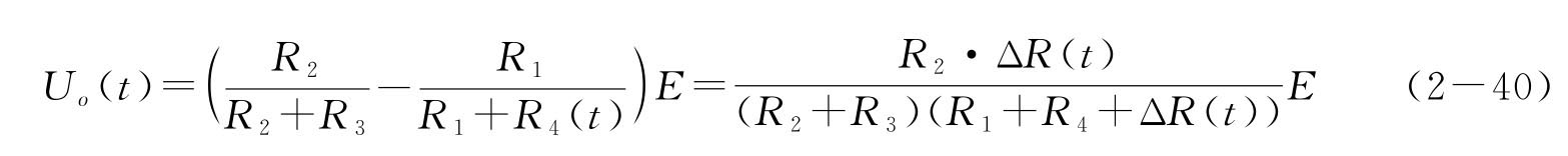
如图2-24所示,设电桥供电电源电压为E,四个桥臂电阻分别为R1、R2、R3和R4(t),其中R1、R2、R3为电阻箱,而R4(t)为传感元件,如铂电阻、铜电阻、热敏电阻等,其阻值随温度t 而变化,若R1R3≠R2R4(t),则电桥桥路上 有电压Uo(t)输出,大小可用数字毫伏表显示。Uo(t)可表示为

图2-24 非平衡电桥原理图

设R4(t)=R4+ΔR(t),其中R4为温度t=t0时传感元件的电阻值(t0可设为环境温度)。实验时先在t=t0时预调电桥平衡,使Uo(t0)=0,即R1R3=R2R4,在此情况下电桥输出电压为

在实际测量中,非平衡电桥根据桥臂电阻对应关系可分为等臂电桥、卧式电桥和立式电桥。
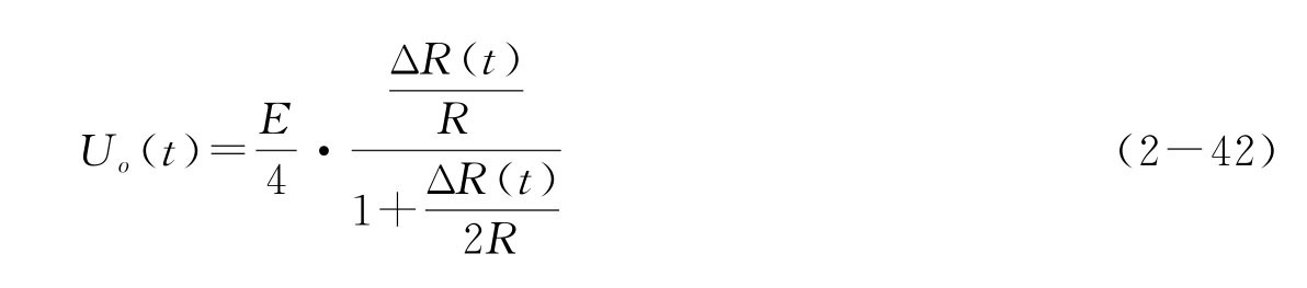
(1)等臂电桥。若R1=R2=R3=R4=R,则电桥为等臂电桥。由式(2-40)知等臂电桥输出电压为

(2)卧式电桥。若R1=R4=R,R2=R3=R',且R ≠R',则电桥为卧式电桥。由式(2-40)知卧式电桥输出电压为

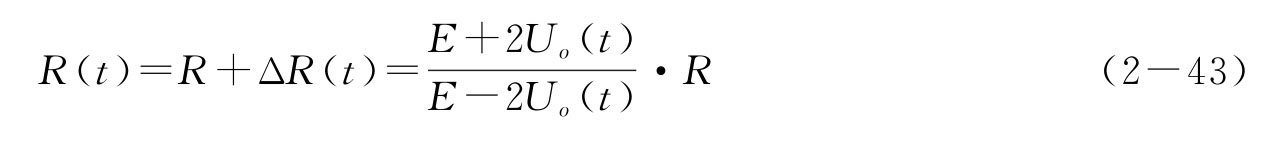
实验时根据数字毫伏表显示数值Uo(t)大小计算ΔR(t),则温度为t 时传感元件电阻值R(t)可表示为

(3)立式电桥。若R3=R4=R,R1=R2=R',且R ≠R',此类电桥称为立式电桥。电桥输出电压Uo(t)由式(2-40)计算可得

显然输出电压不仅与R 有关,而且还与R'有关。立式电桥通常在ΔR(t)变化很大的场合下使用,如有些负温度系数(NTC)半导体热敏电阻,在0~100℃范围内电阻变化达几千欧姆。实验前先设计好R'的值,既要考虑电源电压的大小,又要考虑数字毫伏表的量程,整个实验过程中Uo(t)不能超出量程;R 的大小一般在室温条件下预调电桥平衡时得到。为了使式(2-44)计算方便,一般取R'是R 整数倍,如2.7kΩMF51热敏电阻在室温至70℃范围内实验,要求流过热敏电阻最大电流Im<0.4mA,用量程为200mV 的数字毫伏表测量输出电压,假定E=1.000V,可取R'=3R。总之,通过数字毫伏表读数Uo(t)计算出传感元件在当时温度下电阻值R(t),再通过查分度表可知温度t 值,这就是非平衡电桥测量温度原理。
2.三线制接法
如采用电阻式传感器作为被测对象,传感元件的引出线有以下几种方式:二线制、三线制和四线制。采用二线制接法(图2-25),虽然导线电阻会给测量带来影响,但在测量精度要求不高、测量仪器与被测传感元件距离较近时,常采用二线制。但如果金属电阻本身的阻值很小,那么引线的电阻及其变化也就不能忽视,例如对于Pt100铂电阻,若导线电阻为1Ω,将会产生2.5℃的测量误差。为了消除或减少引线电阻的影响,通常的办法是采用三线制接法加以处理,如图2-26所示。工业热电阻目前大多采用的都是三线制接法。

图2-25 电桥二线制接线电路

图2-26 电桥三线制接线电路
在三线制接线电路中,传感元件的一端与一根导线相接,另一端同时接两根导线。传感元件在与电桥配合时,与传感元件相接的三根导线粗细要相同,长度要相等,阻值要一致(图中r1,r2,r3即为引线电阻)。其中一根引线与测量仪表连接,由于测量仪表的内阻很大,可认为流过r2的电流接近于零。另两根引线分别与电桥的两个相邻臂相连,这样引线电阻对测量就不会造成影响。
3.金属热电阻和半导体热敏电阻温度特性
金属热电阻和半导体热敏电阻其阻值随温度变化而变化,常用作温度传感器。能够用于制作热电阻的金属材料必须具备以下特性:①电阻温度系数尽可能大而稳定,电阻值与温度之间有良好线性关系;②电阻率高,热容量小,反应速度快;③材料的复现性好,价格低廉;④在测量范围内物理和化学性质稳定。目前在工业中应用最广泛的材料是铂和铜。
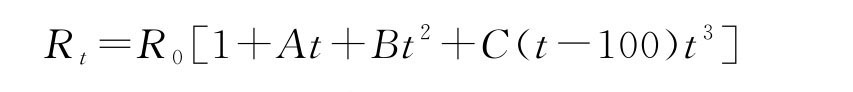
(1)铂热电阻。铂热电阻测温范围在-200~600℃,以铂热电阻温度计作基准器。铂热电阻与温度的关系,在0~600℃以内表示为

在-200~0℃以内表示为

式中:Rt为温度为t℃时的电阻;R0为温度为0℃时的电阻;A,B,C 分别为分度系数,A=3.91×10-3/℃,B=-5.84×10-7/℃2,C=-4.22×10-12/℃4。
工业上常用有Pt50(R0=50Ω)和Pt100(R0=100Ω)两种铂热电阻,将Rt-t 关系制成分度表,称铂热电阻分度表,供使用者查阅,只要知道电阻值就可查知对应温度值。
为了消除内热效应影响,一般铂热电阻允许通过最大电流Im<2.5mA。
(2)铜热电阻。在测温范围不大、测量精度不高的情况下,可以用铜热电阻代替铂热电阻。在-50~150℃温度范围内,铜热电阻与温度呈线性关系,用式(2-45)表示:

式中:Rt为温度为t℃时的电阻值;R0为温度为0℃时的电阻值;α 为铜热电阻温度系数。
工业上常用有Cu50(R0=50Ω)和Cu100(R0=100Ω)两种铜热电阻,将Rt-t 关系制成分度表,称铜热电阻分度表,供使用者查阅,只要知道电阻值就可查知对应温度值。
为了消除内热效应影响,一般铜热电阻允许通过最大电流Im<4mA。
(3)半导体热敏电阻。半导体热敏电阻随温度变化典型特性可分为三种类型:负温度系数热敏电阻(NTC);正温度系数热敏电阻(PTC)和特定温度下电阻值发生突变电阻器(CTR)。负温度系数热敏电阻应用广泛,阻值随温度升高而减小,电阻与温度的关系可表示为

式中:RT,R0分别为温度T(K)和T0=273.15K 时阻值;B 为热敏电阻材料常数,通常B=2000~6000K。
将式(2-46)两边取对数,得直线方程

实验时在不同温度T 下测得热敏电阻阻值RT,以为横坐标、lnRT为纵坐标作图,将测量点进行线性拟合得直线方程,斜率即为B。
热敏电阻温度系数αT定义

可见αT随温度降低而迅速增大,决定热敏电阻在全部工作范围内温度灵敏度,其值比金属热电阻温度系数高得多。
为了消除内热效应影响,一般半导体热敏电阻允许通过最大电流Im<0.4mA。