不确定度及估算方法
1.不确定度概念
一个完整测量不仅给出测量量大小,同时也要给出不确定度。用不确定度来表征该测量结果可信赖程度。
由于真值不知道,因而无法确定误差的大小。因此,实验数据的处理只能求出实验的最佳估计值及其不确定度,通常把测量结果表示为
测量值=最佳估计值±不确定度(单位)
如基本物理常数基本电荷表达式:
基本电荷 e=(1.6021773±0.0000003)×10-19C
何为不确定度?不确定度是指由于测量误差的存在而对被测量值不能肯定的程度,或者说它表征被测量的真值在某个量值范围的一个客观的评定,是测量结果携带的必要参数。由此可见,不确定度与误差有区别。误差是一个理想的概念,一般不能精确知道,但不确定度反映误差存在分布的范围,可由误差理论求得。
不确定度一般包含多个分量,按其数值的评定方法可归并为两类:
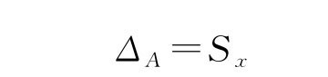
(1)A 类不确定度:多次重复测量时用统计方法计算的那些分量ΔA。
(2)B类不确定度:用其他非统计方法估出的那些分量ΔB,它们只能基于经验或其他信息作出评定。
2.直接测量不确定度估算方法
(1)A 类不确定度分量的估算。实际测量中,一般只能进行有限次测量,这时随机误差不完全服从正态分布规律,而是服从t分布的规律。这种情况下,不确定度A 类分量ΔA等于测量值的标准偏差Sx乘以一因子,但在大学物理实验中为简化起见,直接取

(2)B类不确定度分量的估算。一般用近似的等价标准差ΔB表征:ΔB=Δ仪/C。
其中,Δ仪为仪器误差,C 为修正因子。但在大学物理实验中为简化起见,直接取C=1,则ΔB=Δ仪,Δ仪可由以下途径获得:
1)仪器铭牌或说明书给出。
2)仪表准确度等级获得。Δ仪=k%×量程,式中k 为仪器准确度等级。
3)连续读数仪器Δ仪=最小分度值一半。
4)非连续读数仪器Δ仪=最小分度值。
5)数字式仪表取末位±1或±2。
例如0~25mm 的一级千分尺(螺旋测微器)的仪器误差Δ仪=0.004mm(计量标准规定);0~300mm 的游标卡尺的仪器误差Δ仪=0.02mm(游标有50分格);普通米尺Δ仪=0.5mm;如果数字万用表的读数为15.25V,则Δ仪=0.01V。
实验室常用测量仪器中连续读数仪器指米尺、千分尺、各类指针式仪表(电压、电流、欧姆表等)、温度计等;非连续读数仪器指游标卡尺、分光计、电阻箱、箱式电桥等。在工业或商业用途上,仪器误差置信概率为95%。
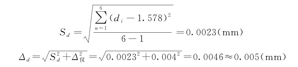
(3)合成不确定度。A 类和B 类分量采用“方、和、根”,得到直接测量的合成不确定度

不确定度大小与置信概率有关。国家计量技术规范《测量不确定度评定与表示》(JJF 1059—1999)推荐三种置信概率,分别是68%、95%和99%,给出测量结果不确定度时,除P=95%外,其他两个必须注明P 值。
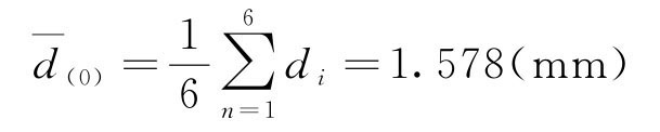
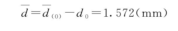
例1-1 用千分尺(Δ仪=0.004mm)对一钢丝直径d 进行六次测量,读数分别为1.577mm、1.580mm、1.578mm、1.581mm、1.575mm、1.576mm,千分尺零位读数(零误差)为0.006mm,求出测量结果。
解:读数平均值

测量平均值


钢丝直径测量结果 d=1.572±0.005(mm)
请特别注意:以后在大学物理实验报告中,任何一个物理量的测量结果都应该以上述结果表达形式给出,即必须表示成: 测量值=最佳估计值±不确定度(单位)。
3.间接测量不确定度估算
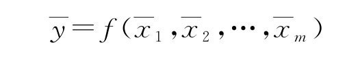
上面介绍的是直接测量,对于间接测量的物理量处理如下。设间接测量值y 是各相互独立的直接测量值x1,x2,…,xm的函数

其中,
,…,
[按照上面介绍的方法,每个直接测量结果表示成测量值=最佳估计值±不确定度(单位)]。
把每个直接测量的平均值带入,则间接测量值y 最佳估算值

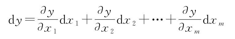
对函数求偏微分

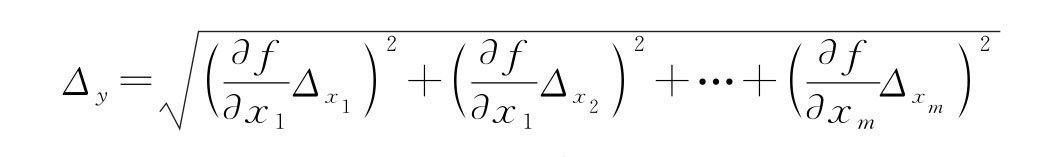
因不确定度Δ 是微小的量,相当于数学中“增量”,因此间接测量的计算公式与数学中全微分公式基本相同。不同之处:①要用不确定度Δx等替代微分dx 等;②要考虑不确定度合成的统计性质,一般是用“方、和、根”的方式进行合成。于是间接测量不确定度

和直接测量一样,间接测量结果也应该表示为

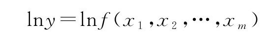
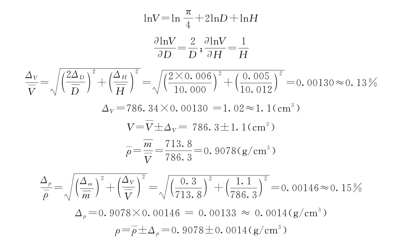
对于积商形式函数,两边取对数

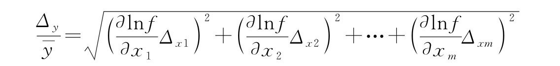
间接测量值y 的相对不确定度

上述求解间接测量值y 的不确定度过程仅供参考,大学物理实验中,对于间接测量的物理量,一般都已给出求解测量值y 的不确定度的具体公式,无须再去推导。
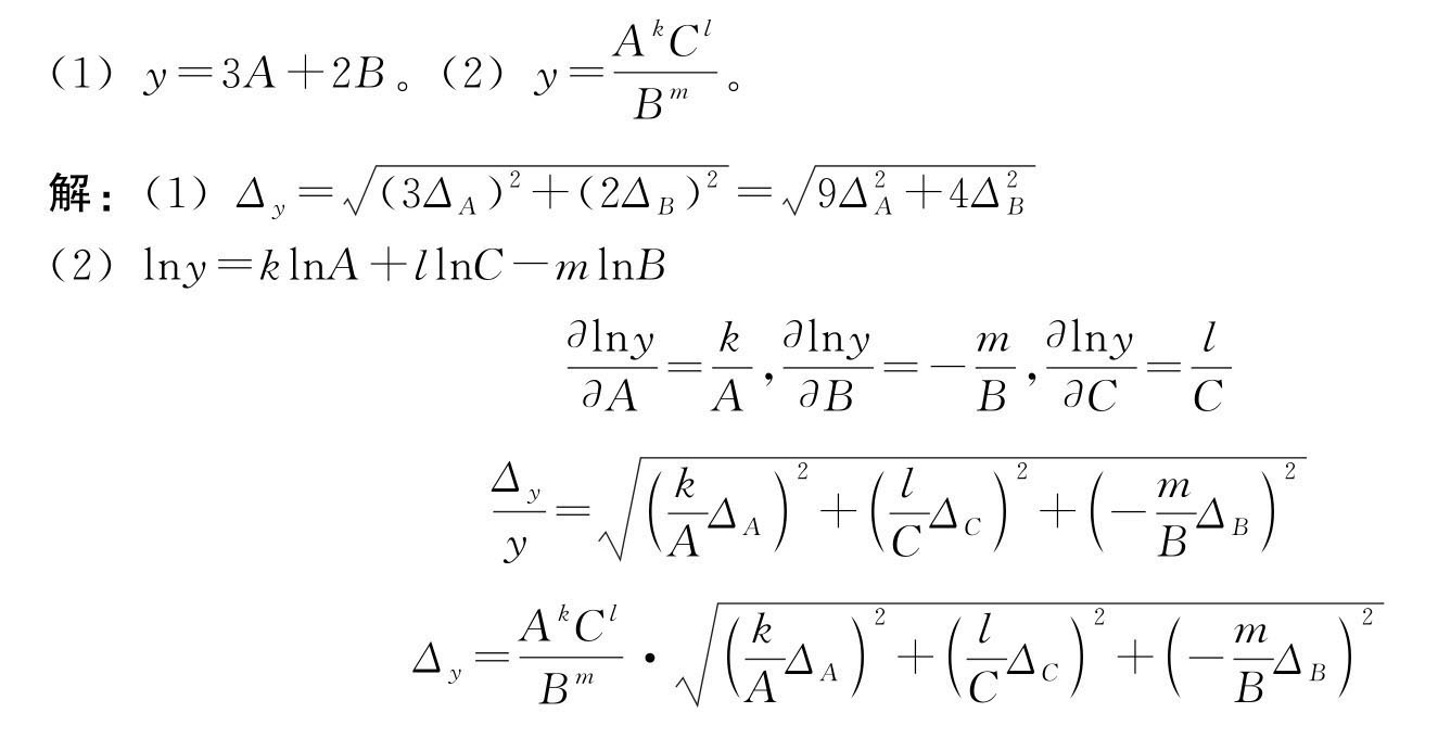
例1-2 设A,B,C 是独立变量,求下列两种情形下y 不确定度:

例1-3 圆柱体的直径和高分别为D=10.000±0.006(cm),H=10.012±0.005(cm),质量m=713.8±0.3(g),圆柱体体积公式为,取π=3.1416,试计算圆柱体体积V 和密度ρ。

